Главная >> Физика 11 кл. Мякишев

Глава 1. Магнитное поле

Действие магнитного поля на движущийся заряд. Сила Лоренца

Электрическое поле действует на заряд q с силой Fэл = q. Следовательно, если есть и электрическое поле, и магнитное поле, то суммарная сила , действующая на заряд, равна:

    = ал + л

    сила Лоренца перпендикулярна скорости частицы

Так как сила Лоренца перпендикулярна скорости частицы, то она не совершает работы. Согласно теореме о кинетической энергии (см. учебник физики для 10 класса) это означает, что сила Лоренца не меняет кинетическую энергию частицы и, следовательно, модуль ее скорости. Под действием силы Лоренца меняется лишь направление скорости частицы.

Движение заряженной частицы в однородном магнитном поле. Рассмотрим движение частицы с зарядом q в однородном магнитном поле , направленном перпендикулярно к начальной скорости частицы (рис. 1.25).

    Движение заряженной частицы в однородном магнитном поле

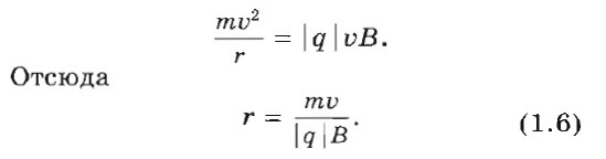
Сила Лоренца зависит от модулей векторов скорости частицы и индукции магнитного поля. Так как магнитное поле не меняет модуль скорости движущейся частицы, то остается неизменным и модуль силы Лоренца. Эта сила перпендикулярна скорости и, следовательно, определяет центростремительное ускорение частицы. Неизменность по модулю центростремительного ускорения частицы, движущейся с постоянной по модулю скоростью, означает, что частица равномерно движется по окружности радиусом r. Определим этот радиус.

Согласно второму закону Ньютона (см. рис. 1.25)

    Согласно второму закону Ньютона

Время, за которое частица делает полный оборот (период обращения), равно:

    Время, за которое частица делает полный оборот

<<< К началу          Окончание >>>

 

 

???????@Mail.ru