Главная >> Физика 11 кл. Мякишев

Глава 8. Световые волны

Световые волны: Примеры решения задач

1. На рисунке 8.39 показано расположение главной оптической оси MN линзы, светящейся точки S и ее изображения S1. Найдите построением оптический центр линзы и ее фокусы. Определите, собирающей или рассеивающей является эта линза, действительным или мнимым является изображение.

Р е ш е н и е. Луч, проходящий через оптический центр линзы, не отклоняется от своего направления. Поэтому оптический центр О совпадает с точкой пересечения прямых SS1 и MN (рис. 8.40). Проведем луч SK, параллельный главной оптической оси. Преломленный луч KS1 пройдет через фокус. Зная, что луч, падающий на линзу через фокус, после преломления идет параллельно главной оптической оси, находим другой фокус. Линза является собирающей, а изображение — действительным.

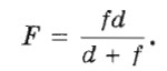
2. Изображение предмета имеет высоту Н = 2 см. Какое фокусное расстояние F должна иметь линза, расположенная на расстоянии ƒ = 4 м от экрана, чтобы изображение данного предмета на экране имело высоту h = 1м?

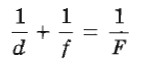
Р е ш е н и е . Из формулы линзы

    формулы линзы

находим фокусное расстояние:

    фокусное расстояние

Увеличение линзы можно выразить так:

    Увеличение линзы

 

 

???????@Mail.ru