Главная >> Физика 11 кл. Мякишев

Глава 8. Световые волны

Примеры решения задач: Световые волны

1. В опыте Юнга по дифракции световых волн расстояние между щелями d = 0,07 мм, а расстояние от двойной щели до экрана D = 2m. При освещении прибора зеленым светом расстояние между соседними светлыми дифракционными полосами оказалось равным Δh = 16 мм. Определите длину волны.

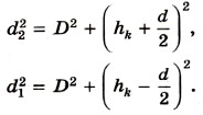
Р е ш е н и е. В некоторой точке С экрана (рис. 8.65) будет наблюдаться максимум освещенности, если выполнено условие

d2 — d1 = kλ,

где k = 0, 1, 2, ... — целые числа.

Определите длину волны

Применим теорему Пифагора к треугольникам S1CE и S2CB:

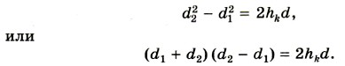
Вычитая почленно из первого равенства второе, получаем

Так как d « D, тo d1 + d2 ≈ 2D. Следовательно,

Учитывая, что d2 - d1 = kλ, можем записать:

Отсюда находим расстояние k-й светлой полосы от центра экрана:

Расстояние между соседними полосами равно:

2. На дифракционную решетку, имеющую 500 штрихов на 1 мм, падает плоская монохроматическая волна (λ = 5 • 10-5 см). Определите наибольший порядок спектра k, который можно наблюдать при нормальном падении лучей на решетку.

Р е ш е н и е. Максимальному k соответствует sin φ = 1 [см. формулу (8.17)]. Следовательно,

 

 

???????@Mail.ru