Главная >> Физика 11 кл. Мякишев

Глава 9. Элементы теории относительности

Элементы релятивистской динамики

При υ « с мы получим выражение для импульса в классической механике:

Множитель (релятивистский множитель)

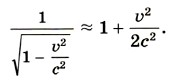
при малых скоростях можно преобразовать:

релятивистский множитель

Подставив это выражение в формулу (9.10) и получим

выражение для кинетической энергии в классической механике

Последнее слагаемое — это выражение для кинетической энергии в классической механике.

Первое слагаемое в формуле (9.11) — это собственная энергия частицы.

Релятивистская энергия есть сумма собственной энергии частицы и релятивистской кинетической энергии Ек:

Е = mс2 + Ек.                         (9.12)

Из уравнений (9.10) и (9.12) получим выражение для релятивистской кинетической энергии массовой частицы

выражение для релятивистской кинетической энергии массовой частицы

Заметим, что если υ → с, то Ек → ∞, что невозможно. Это означает, что скорость массовой частицы всегда меньше скорости света.

Масса частицы из формулы (9.8) имеет вид:

Масса частицы из формулы имеет вид

Если частица покоится, то

Обратим внимание на то, что так как подкоренное выражение в формуле (9.14) не зависит от выбора системы отсчета, то масса частицы не зависит от ее движения и остается одной и той же величиной во всех инерциальных системах отсчета.

Принцип соответствия

Законы динамики Ньютона и классические представления о пространстве и времени можно рассматривать как частный случай релятивистских законов при скоростях движения, много меньших скорости света.

Это проявление так называемого принципа соответствия, согласно которому любая теория, претендующая на более глубокое описание явлений и на более широкую сферу применимости, чем старая, должна включать последнюю как предельный случай.

Принцип соответствия впервые был сформулирован Нильсом Бором применительно к связи квантовой и классической теорий.


Импульс частицы и ее энергия зависят от выбора системы отсчета, масса же всегда остается постоянной. При скоростях много меньших скорости света релятивистские выражения для импульса и энергии переходят в выражения классической механики (принцип соответствия).


Вопросы к параграфу

1. Какие величины не изменяются при переходе от одной инерциальной системы отсчета к другой?

2. Какие частицы могут двигаться со скоростью света?

3. В чем состоит принцип соответствия?

<<< К началу

 

 

???????@Mail.ru