Главная >> Физика 11 класс. Мякишев

Глава 16. Солнце и звезды

§ 121. Основные характеристики звезд

Диаграмма «спектр — светимость». Как и Солнце, звезды освещают Землю, но из-за огромного расстояния до них освещенность, которую они создают на Земле, на много порядков меньше солнечной. По этой причине и возникают технические проблемы при измерениях освещенности от звезд. Астрономы строят гигантские телескопы, чтобы уловить слабые излучения звезд. Чем больше диаметр объектива телескопа, тем более слабые звезды можно с его помощью исследовать. Измерения показали, что, например, Полярная звезда создает освещенность на поверхности Земли Е = 3,8 • 10-9 Вт/м2, что в 370 млрд раз меньше освещенности, создаваемой Солнцем. Расстояние до Полярной звезды составляет 200 пк, или около 650 св. лет (r = б • 1018 м). Поэтому светимость Полярной звезды Lп = 4πr2Е = 4 • 3,14 х (6 • 1018 м)2 • 3,8 • 10-9 Вт/м2 = 9,1 • 1029 Вт = 4600 L. Как видим, несмотря на малую видимую яркость этой звезды, ее светимость в 4600 раз превышает солнечную.

Измерения показали, что среди звезд встречаются звезды в сотни тысяч раз более мощные, чем Солнце, и звезды со светимостями в десятки тысяч раз меньшими, чем у Солнца.

Измерения температур поверхности звезд показали, что температура поверхности звезды определяет ее видимый цвет и наличие спектральных линий поглощения тех или иных химических элементов в ее спектре. Так, Сириус сияет белым цветом и его температура равна почти 10 000 К. Звезда Бетельгейзе (α Ориона) имеет красный цвет и температуру поверхности около 3500 К. Солнце желтого цвета имеет температуру 6000 К. По температуре, по цвету и виду спектра все звезды разбили на спектральные классы, которые обозначаются буквами О, В, A, F, G, К, М. Спектральная классификация звезд приведена ниже в таблице.

Имеется еще одна интересная связь между спектральным классом звезды и ее светимостью, которая представляется в виде диаграммы (рис. 16.2) «спектр — светимость (в светимостях Солнца)» (ее еще называют диаграммой Герцшпрунга—Рессела в честь двух астрономов — Э. Герцшпрунга и Г. Рессела, построивших ее). На диаграмме четко выделяются четыре группы звезд.

Главная последовательность. На нее ложатся параметры большинства звезд. К звездам главной последовательности относится и наше Солнце. Плотности звезд главной последовательности сравнимы с солнечной плотностью.

Спектральный класс

Красные гиганты. К этой группе в основном относятся звезды красного цвета с радиусами, в десятки раз превышающими солнечный, например звезда Арктур (α Волопаса), радиус которой превышает солнечный в 25 раз, а светимость — в 140 раз.

Сверхгиганты. Это звезды со светимостями, в десятки и сотни тысяч раз превышающими солнечную. Радиусы этих звезд в сотни раз превышают радиус Солнца. К сверхгигантам красного цвета относится Бетельгейзе (а Ориона). При массе примерно в 15 раз больше солнечной ее радиус превышает солнечный почти в 1000 раз. Средняя плотность этой звезды составляет всего 2 • 10-11 кг/м3, что более чем в 1 000 000 раз меньше плотности воздуха.

Белые карлики. Это группа звезд в основном белого цвета со светимостями в сотни и тысячи раз меньше солнечной. Они расположены слева внизу диаграммы. Эти звезды имеют радиусы почти в сто раз меньше солнечного и по размерам сравнимы с планетами. Примером белого карлика служит звезда Сириус В — спутник Сириуса. При массе, почти равной солнечной, и размере, в 2,5 раза большем, чем размер Земли, эта звезда имеет гигантскую среднюю плотность — ρ = 3 • 108 кг/м3.

Спектральная классификация звезд

Чтобы понять, чем объясняются наблюдаемые отличия звезд разных групп, вспомним связь между светимостью, температурой и радиусом звезды, которую мы использовали для определения температуры Солнца (формула (16.3)).

Сравним две звезды спектрального класса К, одна — главной последовательности (ГП), другая — красный гигант (КГ). У них одинаковая температура — Т = 4500 К, а светимости отличаются в тысячу раз:

красные гиганты в десятки раз больше по размерам, чем звезды главной последовательности

т. е. красные гиганты в десятки раз больше по размерам, чем звезды главной последовательности.

Массы звезд удалось измерить только у звезд, входящих в состав двойных систем. И они определялись по параметрам орбит звезд и периоду их обращения вокруг друг друга с использованием третьего обобщенного закона Кеплера. Оказалось, что массы всех звезд лежат в пределах

0,05М ≤ М ≤ 100М

Для звезд главной последовательности имеется связь между массой звезды и ее светимостью: чем больше масса звезды, тем больше ее светимость.

чем больше масса звезды, тем больше ее светимость

Так, звезда спектрального класса В имеет массу около М ≈ 20М и ее светимость почти в 100 000 раз больше солнечной.

Источник энергии Солнца и звезд. По современным представлениям, источником энергии, поддерживающим излучения Солнца и звезд, служит ядерная энергия, которая выделяется при термоядерных реакциях образования (синтеза) ядер атомов гелия из ядер атомов водорода. При реакции синтеза из четырех ядер атомов водорода (четырех протонов) образуется ядро атома гелия, при этом выделяется энергия ΔЕ = 4,8 • 10-12 Дж, называемая энергией связи, две элементарные частицы нейтрино и два позитрона (4Н Не + 2е+ + 2ν + ΔЕ).

Для протекания ядерных реакций необходима температура выше нескольких миллионов кельвинов, при которой участвующие в реакции протоны с одинаковыми зарядами смогли бы получить достаточную энергию для взаимного сближения, преодоления электрических сил отталкивания и слияния в одно новое ядро. В результате термоядерных реакций синтеза из водорода массой 1 кг образуется гелий массой 0,99 кг, дефект масс Δm = 0,01 кг и выделяется энергия q = Δmc2 = 9 • 1014 Дж.

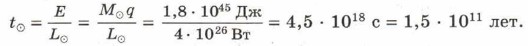
Теперь можно оценить, на сколько времени хватит у Солнца запасов водорода, чтобы поддерживать наблюдаемое свечение Солнца, т. е. время жизни Солнца. Запас ядерной энергии Е = Mq = 2 • 1030 • 9 • 1014 = 1,8 • 1045 Дж. Если поделить этот запас ядерной энергии на светимость Солнца L, то мы получим время жизни Солнца:

Время жизни Солнца

Если учесть, что Солнце состоит по крайней мере на 70% из водорода и ядерные реакции протекают только в центре, в солнечном ядре, масса которого составляет около 0,1М и где температура достаточно высокая для протекания термоядерных реакций, то время жизни Солнца и звезд, похожих на Солнце, составит t ≈ 1010 лет. Солнце, по современным данным, существует уже около 5 млрд лет, так что ему еще жить и жить!

Термоядерные реакции синтеза гелия из водорода являются источником энергии звезд главной последовательности.


Определение спектров, цвета, температуры, светимости и масс звезд позволили классифицировать их по спектральным классам и обнаружить связь между спектральным классом и светимостью звезд, а также связь между их массой и светимостью.


Вопросы к параграфу

1. Перечислите основные группы звезд, которые выделяют на диаграмме «спектр — светимость».

2. Чем отличаются звезды одного спектрального класса, но принадлежащие разным группам?

 

 

???????@Mail.ru