Главная >> Физика 11 класс. Мякишев

Глава 17. Строение Вселенной

§ 126. Строение и эволюция Вселенной

Наука, изучающая строение и эволюцию Вселенной, называется космологией (от греческих слов космос — мир, Вселенная и логос — учение).

Большое значение для развития современных представлений о строении и развитии Вселенной имеет общая теория относительности, созданная А. Эйнштейном (1879— 1955). Она обобщает теорию тяготения Ньютона на большие массы вещества и скорости его движения, сравнимые со скоростью света. Действительно, в галактиках сосредоточена колоссальная масса вещества, а скорости далеких галактик и квазаров сравнимы со скоростью света. Согласно общей теории относительности, гравитационное взаимодействие передается с конечной скоростью, равной скорости света. (В теории Ньютона считается, что гравитационное взаимодействие передается мгновенно.)

Общая теория относительности накладывает определенные ограничения на геометрические свойства пространства, которое уже нельзя считать евклидовым. Согласно этой теории, движение и распределение материи в пространстве нельзя рассматривать в отрыве от геометрических свойств пространства и времени.

Расширяющаяся Вселенная. Впервые космологическую модель Вселенной в рамках общей теории относительности рассмотрел советский математик А. Фридман. Он показал, что Вселенная, однородно заполненная веществом, должна быть нестационарной, и исходя из этого объяснил наблюдаемую картину разбегания галактик. Он показал, что в зависимости от средней плотности вещества Вселенная должна либо расширяться, либо сжиматься. При расширении Вселенной скорость разбегания галактик должна быть пропорциональна расстоянию до них — вывод, который подтвердил Хаббл открытием красного смещения в спектрах галактик.

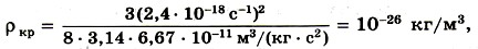
Критическое значение плотности вещества, от которой зависит характер его движения:

Критическое значение плотности вещества

где G — гравитационная постоянная, а Н — постоянная Хаббла.

Помня, что 1 пк = 3,08 • 1013 км и поэтому 1 Мпк = = 3,08 • 1019 км, найдем Н = 2,4 • 10-18 с-1. Тогда согласно формуле (17.3) критическая плотность вещества:

Критическая плотность вещества

или

ρкр = 10-29 г/см3.

Если средняя плотность Вселенной больше критической (ρ > ρкр)9 то в будущем расширение Вселенной сменится сжатием, а при средней плотности, равной или меньшей критической (ρ ≤ ρкр), расширение не прекратится.

Средняя плотность вещества, сосредоточенная в виде звезд в галактиках, равна приблизительно 2 • 10-30 кг/см3, что почти в 5 раз меньше критической.

Но делать выводы о бесконечном расширении Вселенной пока преждевременно, так как некоторые астрономы высказывают предположение о существовании в галактиках вещества, которое пока еще не обнаружено. Эта «скрытая масса» может изменить оценку принятой сейчас средней плотности вещества во Вселенной. Поэтому точного ответа на вопрос о будущем Вселенной в настоящее время не имеется.

Радиус Вселенной легко оценить с помощью закона Хаббла. Так как максимальная скорость не может превышать скорости света, то максимальное расстояние R, до которого мы можем наблюдать небесные тела, соответствует скорости разбегания галактик ν = с = 3 • 105 км/с, откуда

Радиус Вселенной

или R = 1,24 • 1026 м.

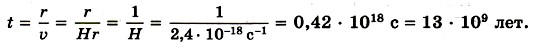
Возраст Вселенной. Если наблюдения пока не позволяют нам с определенностью сказать о характере будущего расширения Вселенной, то оценить, когда в прошлом это расширение началось, можно с помощью закона Хаббла. Действительно, если наблюдаемая нами галактика удаляется со скоростью ν и сейчас после «начала» расширения находится на расстоянии r от Земли, то свое удаление она начала в момент

Возраст Вселенной

Эти рассуждения применимы для любой галактики. Таким образом, около 13 млрд лет назад все вещество метагалактики было сосредоточено в небольшом объеме и плотность вещества была настолько высокой, что ни галактик, ни звезд не существовало. Пока не ясны ни физические процессы, протекавшие до этого сверхплотного состояния вещества, ни причины, вызвавшие расширение Вселенной. Ясно одно, что со временем расширение привело к значительному уменьшению плотности вещества и на определенном этапе расширения стали формироваться галактики и звезды.

Некоторые видят в наблюдаемом разбегании галактик аналогию с разлетом вещества во время взрыва, поэтому описанная теория расширения Вселенной получила название теории Большого взрыва, а время (13 млрд лет), прошедшее с начала этого взрыва, называют возрастом Вселенной.

Модель «горячей Вселенной». В 1968 г. было обнаружено излучение, которое не связано ни с одним известным источником радиоизлучения. Оно идет со всех сторон и похоже на излучение абсолютно черного тела. Это микроволновое излучение имеет максимум на длине волны λmax = 1 мм, что, согласно закону смещения Вина, соответствует температуре излучения 2,7 К. В прошлом, на ранних этапах эволюции Вселенной, плотность и температура этого излучения были существенно выше. Таким образом, в прошлом не только плотность, но и температура вещества были очень высокими. Так, например, когда возраст Вселенной был всего несколько секунд, температура вещества и излучения была десятки и сотни миллионов кельвинов. Конечно, ни о каких галактиках и звездах в этот период говорить не приходится. Они образовались значительно позднее, когда температура и плотность вещества стали ниже. Так как наблюдаемое микроволновое излучение с температурой 2,7 К связано с горячим веществом на ранних этапах эволюции Вселенной, то излучение получило название реликтового (оставшегося от прошлых эпох), а модель расширяющейся Вселенной называют моделью «горячей Вселенной».

 

 

???????@Mail.ru