Главная >> Физика 11 класс. Мякишев

Глава 3. Механические колебания

§ 24. Превращение энергии при гармонических колебаниях

Рассмотрим превращение энергии при гармонических колебаниях в двух случаях: в системе нет трения; в системе есть трение.

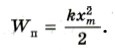
Превращения энергии в системах без трения. Смещая шарик, прикрепленный к пружине (см. рис. 3.3), вправо на расстояние хm, мы сообщаем колебательной системе потенциальную энергию:

сообщаем колебательной системе потенциальную энергию

При движении шарика влево деформация пружины становится меньше, и потенциальная энергия системы уменьшается. Но одновременно увеличивается скорость и, следовательно, возрастает кинетическая энергия. В момент прохождения шариком положения равновесия потенциальная энергия колебательной системы становится равной нулю (Wп = 0 при х = 0). Кинетическая же энергия достигает максимума.

После прохождения положения равновесия скорость шарика начинает уменьшаться. Следовательно, уменьшается и кинетическая энергия. Потенциальная же энергия системы снова увеличивается. В крайней левой точке она достигает максимума, а кинетическая энергия становится равной нулю. Таким образом, при колебаниях периодически происходит переход потенциальной энергии в кинетическую и обратно. Нетрудно проследить за тем, что такие же превращения механической энергии из одного ее вида в другой происходят и в случае математического маятника.

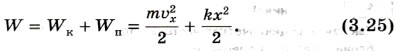
Полная механическая энергия при колебаниях тела, прикрепленного к пружине, равна сумме кинетической и потенциальной энергий колебательной системы:

Полная механическая энергия при колебаниях тела

Кинетическая и потенциальная энергии периодически изменяются. Но полная механическая энергия изолированной системы, в которой отсутствуют силы сопротивления, сохраняется (согласно закону сохранения механической энергии) неизменной. Она равна либо потенциальной энергии в момент максимального отклонения от положения равновесия, либо же кинетической энергии в момент, когда тело проходит положение равновесия:

Энергия колеблющегося тела

Энергия колеблющегося тела прямо пропорциональна квадрату амплитуды колебаний координаты или квадрату амплитуды колебаний скорости (см. формулу (3.26)).

Затухающие колебания. Свободные колебания груза, прикрепленного к пружине, или маятника являются гармоническими лишь в том случае, когда нет трения. Но силы трения, или, точнее, силы сопротивления окружающей среды, хотя, может быть, и малые, всегда действуют на колеблющееся тело.

Силы сопротивления совершают отрицательную работу и тем самым уменьшают механическую энергию системы. Поэтому с течением времени максимальные отклонения тела от положения равновесия становятся все меньше и меньше. В конце концов, после того как запас механической энергии окажется исчерпанным, колебания прекратятся совсем. Колебания при наличии сил сопротивления являются затухающими.

Затухающие колебания

График зависимости координаты тела от времени при затухающих колебаниях изображен на рисунке 3.10. Подобный график может вычертить само колеблющееся тело, например маятник.

маятник с песочницей

На рисунке 3.11 изображен маятник с песочницей. Маятник на равномерно движущемся под ним листе картона струйкой песка вычерчивает график зависимости своей координаты от времени. Это простой метод временной развертки колебаний, дающий достаточно полное представление о процессе колебательного движения. При небольшом сопротивлении затухание колебаний на протяжении нескольких периодов мало. Если же к нитям подвеса прикрепить лист плотной бумаги для увеличения силы сопротивления, то затухание станет значительным.

В автомобилях применяются специальные амортизаторы для гашения колебаний кузова при езде по неровной дороге. При колебаниях кузова связанный с ним поршень движется в цилиндре, заполненном жидкостью. Жидкость перетекает через отверстия в поршне, что приводит к появлению больших сил сопротивления и быстрому затуханию колебаний.


Энергия колеблющегося тела при отсутствии сил трения сохраняется неизменной.

Если на тела системы действуют силы сопротивления, то колебания являются затухающими.


 

 

???????@Mail.ru