Главная >> Физика 11 класс. Мякишев

Глава 3. Механические колебания

Примеры решения задач. Упражнение 3. Краткие итоги главы 3

Примеры решения задач

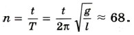
1. Сколько колебаний совершает математический маятник длиной l = 4,9 м за время t = 5 мин?

Р е ш е н и е. Период колебаний определяется по формуле

Период колебаний

Искомое число колебаний можно найти так:

число колебаний

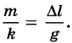
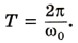
2. Вертикально подвешенная пружина растягивается прикрепленным к ней грузом на Δl = 0,8 см. Чему равен период Т свободных колебаний груза? (Массой пружины пренебречь.)

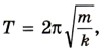
Р е ш е н и е. Период колебаний груза, прикрепленного к пружине, определяется формулой

Период колебаний груза

где m — масса груза; k — жесткость пружины. На груз действуют сила тяжести T и сила упругости ynp. Когда груз находится в равновесии, эти силы равны по модулю:

FT = Fynp.

Так как FT = mg и Fynp = k Δl (закон Гука), то mg = kΔl, откуда

Следовательно,

Период колебаний груза, прикрепленного к пружине

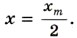
3. На горизонтальном стержне находится груз, прикрепленный к пружине (см. рис. 3.3). Другой конец пружины закреплен. В некоторый момент времени груз смещают от положения равновесия на хm = 10 см и отпускают. Определите координату груза спустя 1/8 периода колебаний. (Трение не учитывать.)

Р е ш е н и е. Зависимость координаты груза от времени выражается так:

x = xm cos ω0t.

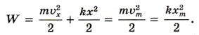
4. Груз, прикрепленный к пружине, колеблется на горизонтальном гладком стержне (см. рис. 3.3). Определите отношение кинетической энергии груза к потенциальной энергии системы в момент, когда груз находится в точке, расположенной посредине между крайним положением и положением равновесия.

Р е ш е н и е. Координата указанной точки равна половине амплитуды колебаний: Потенциальная энергия системы в момент прохождения груза через эту точку равна:

Потенциальная энергия системы в момент прохождения груза через точку

В любой момент времени выполняется равенство

выполняется равенство

Поэтому кинетическая энергия груза в момент прохождения им указанной точки определяется так:

кинетическая энергия груза в момент прохождения

Упражнение 3

1. Груз массой 100 г совершает колебания с частотой 2 Гц под действием пружины. Определите жесткость пружины.

2. В Санкт-Петербурге в Исаакиевском соборе висел маятник Фуко, длина которого была равна 98 м. Чему был равен период колебаний маятника?

3. Шарик на пружине сместили на расстояние 1 см от положения равновесия и отпустили. Какой путь пройдет шарик за 2 с, если частота его колебаний ν = 5 Гц? (Затуханием колебаний можно пренебречь.)

4. Тело массой 200 г совершает колебания в горизонтальной плоскости с амплитудой 2 см под действием пружины жесткостью 16 Н/м. Определите циклическую частоту колебаний тела и энергию системы.

5. Автомобиль движется по неровной дороге, на которой расстояние между буграми приблизительно равно 8 м. Период свободных колебаний автомобиля на рессорах 1,5 с. При какой скорости автомобиля его колебания в вертикальной плоскости станут особенно заметными?

Краткие итоги главы 3

1. Колебания различной природы (механические, электрические и др.) описываются одинаковыми уравнениями. Различают свободные, затухающие и вынужденные колебания.

2. Свободные колебания возникают в системе под влиянием внутренних сил после того, как она выведена из состояния равновесия. С течением времени свободные колебания вследствие трения затухают.

3. Вынужденные колебания возникают при действии на систему внешней периодической силы. Эти колебания не затухают до тех пор, пока действует внешняя сила. Пример вынужденных колебаний: раскачивание качелей с помощью периодических толчков.

4. Свободные колебания груза, прикрепленного к пружине, можно описать вторым законом Ньютона. Его следствием применительно к данному случаю является уравнение

где х — смещение груза от положения равновесия; х" — ускорение груза; — постоянная, зависящая от свойств системы.

5. Решение уравнения, описывающего свободные колебания, выражается через косинус: х = хm cos (ω0t + φ0) — или синус.

Колебания, происходящие по закону косинуса или синуса, называются гармоническими.

6. Модуль максимального смещения тела хm от положения равновесия называется амплитудой колебаний. Величина ω0 называется циклической частотой колебаний и выражается через частоту колебаний ν так:

ω0 = 2πν.

7. Промежуток времени, за который система совершает одно полное колебание, называется периодом колебаний. Период можно выразить через циклическую частоту:

Период можно выразить через циклическую частоту

8. Величину, стоящую под знаком косинуса или синуса, называют фазой колебаний. Фаза определяет положение колеблющегося тела в произвольный момент времени при заданной амплитуде колебаний.

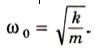
9. Собственная циклическая частота колебаний груза, прикрепленного к пружине, зависит от его массы m и жесткости пружины k:

Собственная циклическая частота колебаний груза, прикрепленного к пружине

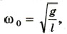
Собственная циклическая частота колебаний математического маятника определяется формулой

Собственная циклическая частота колебаний математического маятника

где g — ускорение свободного падения, а l — длина маятника. Частота (как и период) гармонических колебаний не зависит от амплитуды.

10. Энергия колеблющегося тела при отсутствии сил трения сохраняется:

Энергия колеблющегося тела при отсутствии сил трения

Вынужденные колебания совершаются при воздействии на систему, в которой могут происходить колебания, периодической силы. При этом может наблюдаться резонанс: резкое возрастание амплитуды вынужденных колебаний при совпадении частоты изменения внешней силы с собственной частотой колебаний системы. Резонанс проявляется отчетливо лишь в системах с малым трением.

 

 

???????@Mail.ru