Главная >> Физика 11 класс. Мякишев

Глава 4. Электромагнитные колебания

§ 35. Резонанс в электрической цепи

При изучении вынужденных механических колебаний мы ознакомились с явлением резонанса. Резонанс наблюдается в том случае, когда собственная частота колебаний системы совпадает с частотой изменения внешней силы. Если трение мало, то амплитуда установившихся вынужденных колебаний при резонансе резко увеличивается. Совпадение вида уравнений для описания механических и электромагнитных колебаний позволяет сделать заключение о возможности резонанса также и в электрической цепи, если эта цепь представляет собой колебательный контур, обладающий определенной собственной частотой колебаний.

При механических колебаниях резонанс выражен отчетливо при малых значениях коэффициента трения μ. В электрической цепи роль коэффициента трения выполняет ее активное сопротивление R. Ведь именно наличие этого сопротивления в цепи приводит к превращению энергии тока во внутреннюю энергию проводника (проводник нагревается). Поэтому резонанс в электрическом колебательном контуре должен быть выражен отчетливо при малом активном сопротивлении R.

Мы с вами уже знаем, что если активное сопротивление мало, то собственная циклическая частота колебаний в контуре определяется формулой

циклическая частота колебаний в контуре

Сила тока при вынужденных колебаниях должна достигать максимальных значений, когда частота переменного напряжения, приложенного к контуру, равна собственной частоте колебательного контура:

частота переменного напряжения

Резонансом в электрическом колебательном контуре называется явление резкого возрастания амплитуды вынужденных колебаний силы тока при совпадении частоты внешнего переменного напряжения с собственной частотой колебательного контура.

Амплитуда силы тока при резонансе. Как и в случае механического резонанса, при резонансе в колебательном контуре создаются оптимальные условия для поступления энергии от внешнего источника в контур. Мощность в контуре максимальна в том случае, когда сила тока совпадает по фазе с напряжением. Здесь наблюдается полная аналогия с механическими колебаниями: при резонансе в механической колебательной системе внешняя сила (аналог напряжения в цепи) совпадает по фазе со скоростью (аналог силы тока).

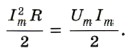
Не сразу после включения внешнего переменного напряжения в цепи устанавливается резонансное значение силы тока. Амплитуда колебаний силы тока нарастает постепенно — до тех пор, пока энергия, выделяющаяся за период на резисторе, не сравняется с энергией, поступающей в контур за это же время:

Амплитуда колебаний силы тока

Упростив это уравнение, можно записать:

ImR = Um                       (4.37)

Отсюда амплитуда установившихся колебаний силы тока при резонансе определяется уравнением

амплитуда установившихся колебаний силы тока при резонансе

Зависимость амплитуды силы тока

При R → 0 резонансное значение силы тока неограниченно возрастает: (Im)рез → ∞. Наоборот, с увеличением R максимальное значение силы тока уменьшается, и при больших R говорить о резонансе уже не имеет смысла. Зависимость амплитуды силы тока от частоты при различных сопротивлениях (R1 < R2 < R3) показана на рисунке 4.19.

Одновременно с увеличением силы тока при резонансе резко возрастают напряжения на конденсаторе и катушке индуктивности. Эти напряжения при малом активном сопротивлении во много раз превышают внешнее напряжение.

Использование резонанса в радиосвязи. Явление электрического резонанса широко используется при осуществлении радиосвязи. Радиоволны от различных передающих станций возбуждают в антенне радиоприемника переменные токи различных частот, так как каждая передающая радиостанция работает на своей частоте. С антенной индуктивно связан колебательный контур (рис. 4.20). Вследствие электромагнитной индукции в контурной катушке возникают переменные ЭДС соответствующих частот и вынужденные колебания силы тока тех же частот. Но только при резонансе колебания силы тока в контуре и напряжения в нем будут значительными, т. е. из колебаний различных частот, возбуждаемых в антенне, контур выделяет только те, частота которых равна его собственной частоте. Настройка контура на нужную частоту ω0 обычно осуществляется путем изменения емкости конденсатора. В этом обычно состоит настройка радиоприемника на определенную радиостанцию.

Использование резонанса в радиосвязи

Необходимость учета возможности резонанса в электрической цепи. В некоторых случаях резонанс в электрической цепи может принести большой вред. Если цепь не рассчитана на работу в условиях резонанса, то его возникновение может привести к аварии.

Чрезмерно большие токи могут перегреть провода. Большие напряжения приводят к пробою изоляции.

Такого рода аварии нередко случались еще сравнительно недавно, когда плохо представляли себе законы электрических колебаний и не умели правильно рассчитывать электрические цепи.


При вынужденных электромагнитных колебаниях возможен резонанс — резкое возрастание амплитуды колебаний силы тока и напряжения при совпадении частоты внешнего переменного напряжения с собственной частотой колебаний. На явлении резонанса основана вся радиосвязь.


Вопросы к параграфу

1. Может ли амплитуда силы тока при резонансе превысить силу постоянного тока в цепи с таким же активным сопротивлением и постоянным напряжением, равным амплитуде переменного напряжения?

2. Чему равна разность фаз между колебаниями силы тока и напряжения при резонансе?

3. При каком условии резонансные свойства контура выражены наиболее отчетливо?

 

 

???????@Mail.ru