Главная >> Физика 11 класс. Мякишев

Глава 4. Электромагнитные колебания

Примеры решения задач. Упражнение 4. Краткие итоги главы 4

Примеры решения задач

1. Максимальный заряд на обкладках конденсатора колебательного контура qm = 10-6 Кл. Амплитудное значение силы тока в контуре Im = 10-3 А. Определите период колебаний. (Потерями на нагревание проводников можно пренебречь.)

Р е ш е н и е. Амплитудные значения силы тока и заряда связаны соотношением:

Im = ω0 qm,

откуда

Амплитудные значения

Следовательно,

период колебаний

2. Рамка площадью S = 3000 см2 имеет N = 200 витков и вращается в однородном магнитном поле с индукцией В = 1,5 • 10-2 Тл. Максимальная ЭДС в рамке Определите время одного оборота.

Р е ш е н и е. Магнитный поток, пронизывающий рамку, равен:

Ф = BSN cos ωt.

Согласно закону электромагнитной индукции:

е = -Ф' = BSNω sin ωt.

Амплитуда ЭДС индукции

Амплитуда ЭДС индукции

Время одного оборота рамки равно:

Время одного оборота рамки

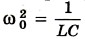
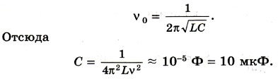
3. В цепь переменного тока с частотой v = 500 Гц включена катушка индуктивностью L = 10 мГн. Определите емкость конденсатора, который надо включить в эту цепь, чтобы наступил резонанс.

Р е ш е н и е. Электрическая цепь согласно условию задачи представляет собой колебательный контур. Резонанс в этой цепи наступит, когда частота переменного тока будет равна собственной частоте колебательного контура (v = v0).

Резонанс в этой цепи

Упражнение 4

1. После того как конденсатору колебательного контура был сообщен заряд q = 10-5 Кл, в контуре возникли затухающие колебания. Какое количество теплоты выделится в контуре к тому времени, когда колебания в нем полностью затухнут? Емкость конденсатора С = 0,01 мкФ.

2. Колебательный контур состоит из катушки индуктивностью L = 0,003 Гн и плоского конденсатора емкостью С = 13,4 пФ. Определите период свободных колебаний в контуре.

3. В каких пределах должна изменяться индуктивность катушки колебательного контура, чтобы частота колебаний изменялась от 400 до 500 Гц? Емкость конденсатора 10 мкФ.

4. Определите амплитуду ЭДС, наводимой в рамке, вращающейся в однородном магнитном поле, если частота вращения составляет 50 об/с, площадь рамки 100 см2 и магнитная индукция 0,2 Тл.

5. Катушка индуктивностью L = 0,08 Гн присоединена к источнику переменного напряжения с частотой v = 1000 Гц. Действующее значение напряжения U = 100 В. Определите амплитуду силы тока Im в цепи.

Краткие итоги главы 4

1. При электромагнитных колебаниях происходят периодические изменения электрического заряда, силы тока и напряжения. Электромагнитные колебания подразделяются на свободные, затухающие, вынужденные и автоколебания.

2. Простейшей системой, в которой наблюдаются свободные электромагнитные колебания, является колебательный контур. Он состоит из проволочной катушки и конденсатора. Уравнение, описывающее электромагнитные колебания в контуре, имеет вид

свободные электромагнитные колебания

где q — заряд конденсатора; q" — вторая производная заряда по времени; — квадрат циклической частоты колебаний, зависящей от индуктивности L и емкости С.

3. Решение уравнения, описывающего свободные электромагнитные колебания, выражается либо через косинус, либо через синус:

q = qm cos ω0t или q — qm sin ω0t.

4. Колебания, происходящие по закону косинуса или синуса, называются гармоническими. Максимальное значение заряда qm на обкладках конденсатора называется амплитудой колебаний заряда. Величина со0 называется циклической частотой колебаний и выражается через число v колебаний в секунду: ω0 = 2πv.

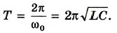
Период колебаний выражается через циклическую частоту следующим образом:

Период колебаний

Величину, стоящую под знаком косинуса или синуса в решении для уравнения свободных колебаний, называют фазой колебаний. Фаза определяет состояние колебательной системы в данный момент времени при заданной амплитуде колебаний.

5. Из-за наличия у контура сопротивления колебания в нем с течением времени затухают.

6. Вынужденные колебания, т. е. переменный электрический ток, возникают в цепи под действием внешнего периодического напряжения. Между колебаниями напряжения и силы тока в общем случае наблюдается сдвиг фаз φ.

7. Мощность в цепи переменного тока определяется действующими значениями силы тока и напряжения: Р = IU cos φ.

8. При совпадении частоты внешнего переменного напряжения с собственной частотой колебательного контура наступает резонанс — резкое возрастание амплитуды силы тока при вынужденных колебаниях. Резонанс выражен отчетливо лишь при достаточно малом активном сопротивлении контура.

Одновременно с возрастанием силы тока при резонансе происходит резкое увеличение напряжения на конденсаторе и катушке. Явление электрического резонанса используется при радиосвязи.

9. Автоколебания возбуждаются в колебательном контуре генератора на транзисторе за счет энергии источника постоянного напряжения. В генераторе используется транзистор, т. е. полупроводниковое устройство, состоящее из эмиттера, базы и коллектора и имеющее два р—n-перехода. Колебания тока в контуре вызывают колебания напряжения между эмиттером и базой, которые управляют силой тока в цепи колебательного контура (обратная связь). От источника напряжения в контур поступает энергия, компенсирующая потери энергии в контуре на резисторе.

 

 

???????@Mail.ru