Главная >> Физика 11 класс. Мякишев

Глава 1. Магнитное поле

§ 6. Действие магнитного поля на движущийся заряд. Сила Лоренца

Электрический ток — это упорядоченно движущиеся заряженные частицы. Поэтому действие магнитного поля на проводник с током есть результат действия поля на движущиеся заряженные частицы внутри проводника. Найдем силу, действующую на одну частицу.

Силу, действующую на движущуюся заряженную частицу со стороны магнитного поля, называют силой Лоренца в честь великого голландского физика X. Лоренца (1853— 1928) — основателя электронной теории строения вещества. Силу Лоренца можно найти с помощью закона Ампера.

Модуль силы Лоренца равен отношению модуля силы F, действующей на участок проводника длиной Δl, к числу N заряженных частиц, упорядоченно движущихся в этом участке проводника:

Модуль силы Лоренца

Отрезок тонкого прямого проводника с током

Рассмотрим отрезок тонкого прямого проводника с током (рис. 1.23). Пусть длина отрезка δl и площадь поперечного сечения проводника S настолько малы, что вектор индукции магнитного поля можно считать одинаковым в пределах этого отрезка проводника. Сила тока I в проводнике связана с зарядом частиц q, концентрацией заряженных частиц (числом зарядов в единице объема) и скоростью их упорядоченного движения v следующей формулой:

I = qnvS.                     (1.4)

Модуль силы, действующей со стороны магнитного поля на выбранный элемент тока, равен:

F = | I | BΔl sin α.

Подставляя в эту формулу выражение (1.4) для силы тока, получаем:

F = | q | nvS&ΔlB sin α = v| q | NB sin α,

где N = nSΔl — число заряженных частиц в рассматриваемом объеме. Следовательно, на каждый движущийся заряд со стороны магнитного поля действует сила Лоренца, равная:

Сила Лоренца

где α — угол между вектором скорости и вектором магнитной индукции. Сила Лоренца перпендикулярна векторам и . Ее направление определяется с помощью того же правила левой руки, что и направление силы Ампера: если левую руку расположить так, чтобы составляющая магнитной индукции , перпендикулярная скорости заряда, входила в ладонь, а четыре вытянутых пальца были направлены по движению положительного заряда (против движения отрицательного), то отогнутый на 90° большой палец укажет направление действующей на заряд силы Лоренца Fл (рис. 1.24).

Электрическое поле действует на заряд q с силой Fэл = q. Следовательно, если есть и электрическое поле, и магнитное поле, то суммарная сила , действующая на заряд, равна:

= ал + л

сила Лоренца перпендикулярна скорости частицы

Так как сила Лоренца перпендикулярна скорости частицы, то она не совершает работы. Согласно теореме о кинетической энергии (см. учебник физики для 10 класса) это означает, что сила Лоренца не меняет кинетическую энергию частицы и, следовательно, модуль ее скорости. Под действием силы Лоренца меняется лишь направление скорости частицы.

Движение заряженной частицы в однородном магнитном поле

Движение заряженной частицы в однородном магнитном поле. Рассмотрим движение частицы с зарядом q в однородном магнитном поле , направленном перпендикулярно к начальной скорости частицы (рис. 1.25).

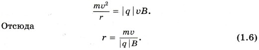
Сила Лоренца зависит от модулей векторов скорости частицы и индукции магнитного поля. Так как магнитное поле не меняет модуль скорости движущейся частицы, то остается неизменным и модуль силы Лоренца. Эта сила перпендикулярна скорости и, следовательно, определяет центростремительное ускорение частицы. Неизменность по модулю центростремительного ускорения частицы, движущейся с постоянной по модулю скоростью, означает, что частица равномерно движется по окружности радиусом r. Определим этот радиус.

Согласно второму закону Ньютона (см. рис. 1.25)

Согласно второму закону Ньютона

Время, за которое частица делает полный оборот (период обращения), равно:

Время, за которое частица делает полный оборот

Использование действия магнитного поля на движущийся заряд. Действие магнитного поля на движущийся заряд широко используют в современной технике. Достаточно упомянуть телевизионные трубки (кинескопы), в которых летящие к экрану электроны отклоняются с помощью магнитного поля, создаваемого особыми катушками.

Использование действия магнитного поля на движущийся заряд.

Сила Лоренца используется в ускорителе заряженных частиц (циклотрон) для получения частиц с большими энергиями. Циклотрон состоит из двух полых полуцилиндров (дуантов) 3, находящихся в однородном магнитном поле (рис. 1.26). Между дуантами создается переменное электрическое поле. Согласно формуле (1.6) при увеличении скорости частицы 1 радиус окружности (траектории 2), по которой движется частица, увеличивается. Период обращения частицы не зависит от скорости (см. формулу (1.7)), и, следовательно, через полпериода, вследствие изменения направления электрического поля, частица снова оказывается в ускоряющем ее поле и т. д. На последнем витке частица вылетает из циклотрона.

На действии магнитного поля основано также и устройство приборов, позволяющих разделять заряженные частицы по их удельным зарядам, т. е. по отношению заряда частицы к ее массе, и по полученным результатам точно определять массы частиц. Такие приборы получили название масс-спектрографов.

Масс-спектрограф

На рисунке 1.27 изображена принципиальная схема простейшего масс-спектрографа. Вакуумная камера прибора помещена в магнитное поле (вектор индукции перпендикулярен рисунку). Ускоренные электрическим полем заряженные частицы (электроны или ионы), описав дугу, попадают на фотопластинку, где оставляют след, позволяющий с высокой точностью измерить радиус траектории r. По этому радиусу определяется удельный заряд иона. Зная заряд иона, легко вычислить его массу.


На движущуюся заряженную частицу со стороны магнитного поля действует сила Лоренца. Эта сила перпендикулярна скорости и не совершает работы.


Вопросы к параграфу

1. Чему равен модуль силы Лоренца?

2. Как движется заряженная частица в однородном магнитном поле, если начальная скорость частицы перпендикулярна линиям магнитной индукции?

3. Как определить направление силы Лоренца?

 

 

???????@Mail.ru