Главная >> Физика 11 класс. Мякишев

Глава 1. Магнитное поле

Примеры решения задач

Решение задач с применением закона Ампера (и использованием выражения для силы Лоренца) аналогично решению задач механики. Кроме механических сил, надо учитывать силу Ампера (или силу Лоренца) и правильно определять ее направление.

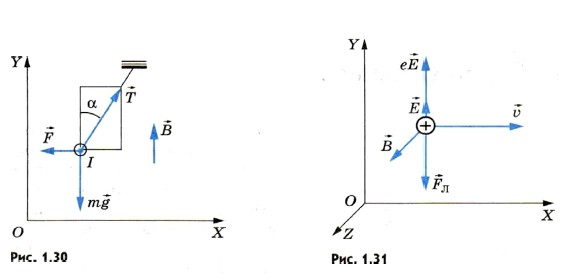
1. Между полюсами магнита подвешен горизонтально на двух невесомых нитях прямой проводник длиной l = 0,2 м и массой m = 10 г. Вектор индукции однородного магнитного поля перпендикулярен проводнику и направлен вертикально; В = 49 мТл. На какой угол α от вертикали отклонятся нити, поддерживающие проводник, если по нему пропустить ток? Сила тока I = 2 А.

закон Ампера

Р е ш е н и е. На проводник действуют следующие силы: силы упругости двух нитей , сила тяжести и сила Ампера (рис. 1.30). Модуль силы Ампера F = IBl. При равновесии проводника суммы проекций сил на вертикальное и горизонтальное направления (с учетом их знаков) равны нулю:

Модуль силы Ампера

Следовательно, угол α = 11,3°.

2. В пространстве, где созданы одновременно однородные и постоянные электрическое и магнитное поля, по прямолинейной траектории движется протон. Известно, что напряженность электрического поля равна . Определите индукцию магнитного поля.

Р е ш е н и е. Прямолинейное движение протона возможно в двух случаях.

1) Вектор направлен вдоль траектории движения протона. Тогда вектор также должен быть направлен вдоль этой траектории, и его модуль может быть любым, так как магнитное поле не будет действовать на частицу.

2) Векторы , и взаимно перпендикулярны, и сила, действующая на протон со стороны электрического поля, равна по модулю и противоположна по направлению силе Лоренца, действующей на протон со стороны магнитного поля (рис. 1.31). Так как

Прямолинейное движение протона

 

 

???????@Mail.ru