Главная >> Физика 11 класс. Мякишев

Глава 8. Световые волны

§ 65. Формула тонкой линзы. Увеличение линзы

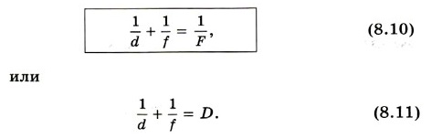
Выведем формулу, связывающую три величины: расстояние d от предмета до линзы, расстояние ƒ от изображения до линзы и фокусное расстояние F.

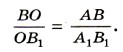
Из подобия треугольников АОВ и А1В1О (см. рис. 8.37) следует равенство

Выведем формулу, связывающую три величины

Из подобия треугольников COF и FA1B1 имеем:

Выведем формулу, связывающую три величины

Так как АВ = СО, то

Выведем формулу, связывающую три величины

Учитывая свойство пропорции, имеем:

ƒF + Fd = ƒd.

Поделив все члены полученного равенства на произведение Fƒd, получим

Уравнение (8.10), как и (8.11), принято называть формулой тонкой линзы. Величины d, ƒ и F могут быть как положительными, так и отрицательными. Отметим (без доказательства), что, применяя формулу линзы, нужно ставить знаки перед членами уравнения согласно следующему правилу. Если линза собирающая, то ее фокус действительный, и перед членом : ставят знак «+». В случае рассеивающей линзы F < 0 и в правой части формулы (8.10) будет стоять отрицательная величина. Перед членом ставят знак «+», если изображение действительное, и знак «—» в случае мнимого изображения. Наконец, перед членом ставят знак «+» в случае действительной светящейся точки и знак «-», если она мнимая (т. е. на линзу падает сходящийся пучок лучей, продолжения которых пересекаются в одной точке).

В том случае, когда F, ƒ или d неизвестны, перед соответствующими членами или ставят знак «+». Но если в результате вычислений фокусного расстояния или расстояния от линзы до изображения либо до источника получается отрицательная величина, то это означает, что фокус, изображение или источник мнимые.

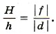
Увеличение линзы. Изображение, получаемое с помощью линзы, обычно отличается своими размерами от предмета. Различие размеров предмета и изображения характеризуют увеличением.

Линейным увеличением называют отношение линейного размера изображения к линейному размеру предмета.

Для нахождения линейного увеличения обратимся снова к рисунку 8.37. Если высота предмета АВ равна h, а высота изображения А1В1 равна Н, то

Линейным увеличением называют

есть линейное увеличение.

Из подобия треугольников АОВ и ОА1В1 следует, что

Следовательно, увеличение линзы равно отношению расстояния от изображения до линзы к расстоянию от линзы до предмета:

увеличение линзы равно отношению расстояния от изображения до линзы к расстоянию от линзы до предмета


Линзы являются основной частью фотоаппарата, проекционного аппарата, микроскопа, телескопа. В глазу тоже есть линза — хрусталик.


Вопросы к параграфу

1. Какую линзу называют тонкой?

2. Что называется главным фокусом линзы?

3. Какие лучи удобно использовать для построения изображения в линзе?

4. Что называется увеличением линзы?

 

 

???????@Mail.ru