Главная >> Физика 11 класс. Мякишев

Глава 9. Элементы теории относительности

§ 78. Основные следствия из постулатов теории относительности

Из постулатов теории относительности вытекает ряд важнейших следствий. Перечислим их, не останавливаясь на обосновании этих следствий.

Относительность расстояний. Расстояние между двумя точками тела не является абсолютной величиной, а зависит от скорости движения тела относительно данной системы отсчета.

Обозначим через l0 длину стержня в системе отсчета К1, относительно которой стержень покоится. Тогда длина l этого стержня в системе отсчета К, относительно которой стержень движется со скоростью , определяется формулой

стержень движется

Как видно из этой формулы, l < l0. В этом состоит так называемое релятивистское сокращение размеров движущегося тела.

Относительность промежутков времени. Пусть интервал времени между двумя событиями, происходящими в одной и той же точке инерциальной системы отсчета К, равен τ0. Этими событиями, например, могут быть два удара метронома в K-системе, отсчитывающего секунды.

Тогда интервал τ между теми же событиями в системе отсчета К1, движущейся относительно системы К со скоростью , равен:

Относительность промежутков времени

Очевидно, что τ > τ0. В этом состоит релятивистский эффект замедления времени в движущихся системах отсчета: движущиеся часы «тикают» медленнее, чем покоящиеся.

Если υ « с, то в формулах (9.1) и (9.2) можно пренебречь величиной Тогда l ≈ l0 и τ ≈ τ0, т. е. релятивистское сокращение размеров тела и замедление времени в движущихся системах отсчета можно не учитывать.

Релятивистский закон сложения скоростей. Новым релятивистским представлениям о пространстве и времени соответствует новый закон сложения скоростей. Очевидно, что классический закон сложения скоростей не может быть справедливым, так как он противоречит утверждению о постоянстве скорости света в вакууме.

Если поезд движется со скоростью и в вагоне в направлении движения поезда распространяется световая волна, то ее скорость относительно земли должна быть равна опять-таки , а не + . Новый закон сложения скоростей и должен приводить к требуемому результату.

закон сложения скоростей для частного

Мы запишем этот закон сложения скоростей для частного случая, когда тело движется вдоль оси Х1 системы отсчета К1, которая, в свою очередь, движется со скоростью относительно системы отсчета К. Причем в процессе движения координатные оси ОХ и ОХ1 все время совпадают, а координатные оси OY и OY1, OZ и OZ1 остаются параллельными (рис. 9.3).

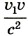
Обозначим скорость тела относительно системы отсчета К1 через υ1, а скорость этого же тела относительно системы К через υ2. Тогда релятивистский закон сложения скоростей будет иметь вид:

релятивистский закон сложения скоростей

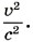
Если υ « с и υ1 « с, то членом в знаменателе можно пренебречь, и вместо выражения (9.3) получим привычный нам классический закон сложения скоростей:

υ2= υ1 + υ.

При υ1 = с скорость υ2 также равна с — в соответствии со вторым постулатом теории относительности. Действительно,

вторым постулатом теории относительности

Замечательным свойством релятивистского закона сложения скоростей является то, что при любых скоростях υ1 и υ (конечно, не больших с) результирующая скорость υ2 не превышает с.


Из постулатов теории относительности следует, что длина тела, промежуток времени между двумя событиями зависят от выбранной системы отсчета, т. е. являются относительными.

Релятивистский закон сложения скоростей переходит в классический при υ « с.


Вопросы к параграфу

1. При каких скоростях движения релятивистский закон сложения скоростей переходит в классический (закон Галилея)?

2. В чем принципиальное отличие скорости света от скоростей движения тел?

 

 

???????@Mail.ru