Главная >> Физика 7 класс. Перышкин

Глава 3. Давление твёрдых тел, жидкостей и газов

§ 49. Гидравлический пресс

Закон Паскаля позволяет объяснить действие гидравлической машины (от греч. гидравликов — водяной). Это машины, действие которых основано на законах движения и равновесия жидкостей.

Принцип действия гидравлической машины

Основной частью гидравлической машины служат два цилиндра разного диаметра, снабжённые поршнями и соединённые трубкой (рис. 144). Пространство под поршнями и трубку заполняют жидкостью (обычно минеральным маслом). Высоты столбов жидкости в обоих цилиндрах одинаковы, пока на поршни не действуют силы.

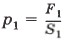
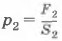
Допустим теперь, что F1 и F2 — силы, действующие со стороны поршней на жидкость, S1 и S2 — площади поршней. Давление под первым (малым) поршнем равно , (а под вторым большим) . По закону Паскаля давление покоящейся жидкостью во все стороны передаётся без изменений, т. е.

откуда

Следовательно, сила F2 во столько раз больше силы F1, во сколько раз площадь большого поршня больше площади малого. Например, если площадь большого поршня 500 см2, а малого 5 см2 и на малый поршень действует сила 100 Н, то на большой поршень будет действовать сила, в 100 раз большая, т. е. 10 000 Н.

Гидравлический пресс

Таким образом, с помощью гидравлической машины можно малой силой уравновесить большую силу.

Отношение показывает выигрыш в силе.

Например, в приведённом примере выигрыш в силе равен .

Гидравлическую машину, служащую для прессования (сдавливания), называют гидравлическим прессом.

Гидравлические прессы применяются там, где требуется большая сила. Например, для выжимания масла из семян на маслобойных заводах, для прессования фанеры, картона, сена. На металлургических заводах гидравлические прессы используют при изготовлении стальных валов машин, железнодорожных колёс и многих других изделий. Современные гидравлические прессы могут развивать силу в десятки и сотни миллионов ньютонов.

Устройство гидравлического пресса

Устройство гидравлического пресса схематически показано на рисунке 145. Прессуемое тело 1 кладут на платформу, соединённую с большим поршнем 2. При помощи малого поршня 3 создаётся большое давление на жидкость. Это давление без изменения передаётся в каждую точку жидкости, заполняющей цилиндры (закон Паскаля). Поэтому такое же давление действует и на поршень 2. Но так как площадь поршня 2 больше площади поршня 3, то и сила, действующая на него, будет больше силы, действующей на поршень 3. Под действием этой силы поршень 2 будет подниматься. При подъёме поршня 2 тело упирается в неподвижную верхнюю платформу и сжимается. При помощи манометра 4 измеряют давление жидкости, предохранительный клапан 5 автоматически открывается, когда давление превышает допустимое значение.

Из малого цилиндра в большой жидкость перекачивается повторными движениями малого поршня 3. Это осуществляется так. При подъёме малого поршня клапан 6 открывается, и в пространство, находящееся под поршнем, засасывается жидкость. При опускании малого поршня под действием давления жидкости клапан 6 закрывается, а клапан 7 открывается, и жидкость переходит в большой сосуд.

Вопросы

1. Какой закон используют в устройстве гидравлических машин?
2. Какой выигрыш в силе даёт гидравлический пресс (при отсутствии трения)?

Упражнение 25

1. На рисунке 146 изображена упрощённая схема гидравлического подъёмника (гидравлического домкрата), где 1 — поднимаемое тело, 2 — малый поршень, 3 — клапаны, 4 — клапан для опускания груза, 5 — большой поршень. Груз какой массы можно поднять такой машиной, если известно, что площадь малого поршня 1,2 см2, большого — 1440 см2, а сила, действующая на малый поршень, может достигать 1000 Н? Трение не учитывать.

2. В гидравлическом прессе площадь малого поршня 5 см2, площадь большого — 500 см2. Сила, действующая на малый поршень, 400 Н, на большой — 36 кН. Какой выигрыш в силе даёт этот пресс? Почему пресс не даёт максимального (наибольшего) выигрыша в силе? Какой выигрыш в силе должен был бы давать этот пресс при отсутствии силы трения между поршнем и стенками пресса?

3. Можно ли создать машину, подобную гидравлической, используя вместо воды воздух? Ответ обоснуйте.

Задание

1. На рисунке 147 изображена схема автомобильного гидравлического тормоза, где 1 — тормозная педаль, 2 — цилиндр с поршнем, 3 — тормозной цилиндр, 4 — тормозные колодки, 5 — пружина, 6 — тормозной барабан. Цилиндры и трубки заполнены специальной жидкостью. Расскажите по этой схеме, как действует тормоз.

2. Используя Интернет, подготовьте презентацию на тему «Гидравлический домкрат в быту ».

 

 

???????@Mail.ru