Главная >> Физика 7 класс. Перышкин

Глава 3. Давление твёрдых тел, жидкостей и газов

Итоги главы: Давление твёрдых тел, жидкостей и газов

Самое главное

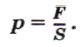
  • Физическая величина, которая определяется отношением силы, действующей перпендикулярно поверхности тела, к площади его поверхности, называется давлением.

    давление

  • Согласно закону Паскаля давление, которое производит жидкость или газ, передаётся в любую точку без изменений во всех направлениях.
  • Сила, выталкивающая тело из жидкости или газа, называется силой Архимеда. По закону Архимеда на любое тело, погружённое в жидкость, действует выталкивающая сила, равная весу жидкости, вытесненной телом:

  • Сила Архимеда направлена противоположно силе тяжести.
  • Если тело плавает в жидкости, то

    Если тело всплывает, то

    Если тело тонет, то

    Проверь себя

    1. Давление твёрдого тела рассчитывают по формуле:

    2. Давление тела на опору увеличится, если:

      A. уменьшить площадь опоры
      Б. увеличить площадь опоры
      B. увеличить силу и площадь поверхности

    3. При повышении температуры давление газа:

      A. увеличится
      Б. уменьшится
      B. не изменится

    4. Давление жидкости или газа на стенки сосуда передаётся в любую точку:

      A. одинаково во всех направлениях
      Б. только в направлении дна сосуда
      B. на дно сосуда больше, на стенки меньше

    5. С глубиной давление жидкости:

      A. увеличивается Б. уменьшается
      B. остаётся неизменным

    6. По какой формуле рассчитывается давление на дно и стенки сосуда?

    7. В один аквариум налили 2 л морской воды, в другой 4 л. Уровень воды относительно дна в первом аквариуме равен 10 см, во втором — 20 см. В каком аквариуме давление на дно больше?

      A. в первом в 2 раза больше
      Б. во втором в 2 раза больше
      B. давление одинаково

    8. Какие из перечисленных величин меняются, если молоко из пакета перелить в кувшин?

      A. объём
      Б. давление
      B. сила тяжести
      Г. вес

    9. Атмосферное давление по мере увеличения высоты над уровнем Земли:

      A. увеличивается
      Б. уменьшается
      B. остаётся неизменным

    10. Сила, выталкивающая тело из жидкости или газа, направлена:

      A. противоположно силе тяжести, приложенной к телу
      Б. в направлении силы тяжести, приложенной к телу
      B. в начале в направлении силы тяжести, по мере погружения — противоположно силе тяжести

    11. Тело будет плавать, если:

    Выполните задания, предложенные в электронном приложении.

     

  •  

    ???????@Mail.ru