Главная >> Физика 7 класс. Перышкин

Глава 4. Работа и мощность. Энергия

§ 56. Мощность. Единицы мощности

На совершение одной и той же работы различным двигателям требуется разное время. Например, подъёмный кран на стройке за несколько минут поднимает на верхний этаж здания сотни кирпичей. Если бы эти кирпичи перетаскивал рабочий, то ему для этого потребовалось бы несколько часов. Другой пример. Гектар земли лошадь может вспахать за 10—12 ч, трактор же с многолемешным плугом эту работу выполнит за 40—50 мин.

Ясно, что подъёмный кран ту же работу совершает быстрее, чем рабочий, а трактор — быстрее, чем лошадь. Быстроту выполнения работы характеризуют особой величиной, называемой мощностью.

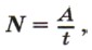
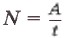
  • Мощность равна отношению работы ко времени, за которое она была совершена.

Мощность равна отношению работы ко времени, за которое она была совершена.

Чтобы вычислить мощность, надо работу разделить на время, в течение которого совершена эта работа:

где N — мощность, А — работа, t — время выполнения работы.

Мощность — величина постоянная, когда за каждую секунду совершается одинаковая работа, в других случаях отношение определяет среднюю мощность:

За единицу мощности принимают такую мощность, при которой в 1 с совершается работа в 1 Дж.

Эту единицу называют ваттом (Вт) в честь английского учёного Уатта.

Итак,

Ватт (джоуль в секунду) —

Тройка лошедей

В технике широко используют более крупные единицы мощности — киловатт (кВт), мегаватт (МВт).

    1 МВт = 1 000 000 Вт
    1 кВт = 1000 Вт
    1 мВт = 0,001 Вт
    1 Вт = 0,000001 МВт
    1 Вт = 0,001 кВт
    1 Вт = 1000 мВт

Мощность двигателя автомобиля часто указывают в лошадиных силах (л. с.):

1 л. с. = 735,5 Вт.

П р и м е р. Найти мощность потока воды, протекающей через плотину, если высота падения воды 25 м, а расход её — 120 м3 в минуту.

Запишем условие задачи и решим её.

Плотина

Различные двигатели имеют мощности от сотых и десятых долей киловатта (двигатель электрической бритвы, швейной машины) до сотен тысяч киловатт (водяные и паровые турбины).

На каждом двигателе имеется табличка (паспорт двигателя), на которой указаны некоторые данные о двигателе, в том числе и его мощность.

Мощность человека при нормальных условиях работы в среднем равна 70—80 Вт. Совершая прыжки, взбегая по лестнице, человек может развивать мощность до 730 Вт, а в отдельных случаях и большую.

Зная мощность двигателя, можно рассчитать работу, совершаемую этим двигателем в течение какого-нибудь промежутка времени.

Из формулы следует, что

Чтобы вычислить работу, необходимо мощность умножить на время, в течение которого совершалась эта работа.

П р и м е р. Двигатель комнатного вентилятора имеет мощность 35 Вт. Какую работу он совершает за 10 мин?

Запишем условие задачи и решим её.

Вопросы

1. Что показывает мощность?
2. Как вычислить мощность, зная работу и время?
3. Как называется единица мощности?
4. Какие единицы мощности используют в технике?
5. Как, зная мощность и время работы, рассчитать работу?

Упражнение 31

1. Выразите в киловаттах и мегаваттах мощность: 2500 Вт; 100 Вт.
Выразите в ваттах мощность: 5 кВт; 2,3 кВт; 0,3 кВт; 0,05 МВт; 0,001 МВт.

2. С плотины высотой 22 м за 10 мин падает 500 т воды. Какая мощность развивается при этом?

3. Какова мощность человека при ходьбе, если за 2 ч он делает 10 000 шагов и за каждый шаг совершает 40 Дж работы?

4. Какую работу совершает двигатель мощностью 100 кВт за 20 мин?

5. Транспортёр за 1 ч поднимает 30 м3 песка на высоту 6 м. Вычислите необходимую для этой работы мощность двигателя. Плотность песка 1500 кг/м3.

6. Штангист поднял штангу массой 125 кг на высоту 70 см за 0,3 с. Какую среднюю мощность развил спортсмен при этом?

Задание

1. Рассчитайте мощность, которую вы развиваете, поднимаясь равномерно вначале медленно, а затем быстро с первого на второй этаж школы. Все необходимые данные получите сами.

2. Установите по паспорту прибора мощность электродвигателей пылесоса, мясорубки, кофемолки.

3. Установите, на какую мощность рассчитаны двигатели автомобилей, которые вы знаете.

 

 

???????@Mail.ru