Главная >> Физика 7 класс. Перышкин

Глава 4. Работа и мощность. Энергия

Итоги главы: Работа и мощность. Энергия

Самое главное

  • Механическая работа совершается в том случае, когда тело движется под действием силы:

    Механическая работа

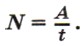
  • Мощность характеризует способность различных тел совершать определённую работу за некоторый промежуток времени:

    Мощность

  • Рычаг — это простой механизм, представляющий собой твёрдое тело, которое может вращаться вокруг неподвижной оси.
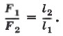
  • Рычаг будет находиться в равновесии, если

    Рычаг

  • Для того чтобы узнать эффективность работы механизма, вводят КПД:

    эффективность работы механизма

    Проверь себя

    1. Механическая работа совершается:

      A. если на тело действует сила и оно движется
      Б. если сила тяжести равна весу тела
      B. всегда, когда тело движется

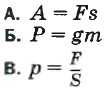
    2. Механическую работу вычисляют по формуле:

      Механическую работу вычисляют по формуле

    3. Мощность — это:

      A. отношение работы ко времени, за которое она была совершена
      Б. работа, которую совершает тело
      B. сила, с которой совершается работа

    4. За единицу мощности в СИ принят:

      A. ватт (Вт)
      Б. джоуль (Дж)
      B. ньютон (Н)

    5. Плечо силы — это:

      А. кратчайшее расстояние между точкой опоры и линией действия силы
      Б. расстояние до точки приложения силы

    6. Условие равновесия рычага:

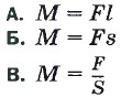
    7. Момент силы вычисляют по формуле:

    8. КПД — это:

      A. отношение полезной работы к полной
      Б. равенство полезной работы и полной
      B. когда полная работа меньше полезной

    Выполните задания, предложенные в электронном приложении.

     

  •  

    ???????@Mail.ru