Главная >> Физика 8 класс. Перышкин. Онлайн учебник

Глава 2. Электрические явления

Итоги главы: Электрические явления

Самое главное

  • Электризация — сообщение телу электрического заряда.
  • Электрический ток — это упорядоченное движение заряженных частиц.
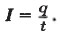
  • Сила тока (I) равна:

    Сила тока

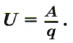
  • Напряжение (U) является энергетической характеристикой электрического поля. Электрическое напряжение определяют по формуле:

    Электрическое напряжение определяют по формуле:

  • Закон Ома устанавливает зависимость силы тока от напряжения на концах участка цепи и сопротивления:

    Закон Ома устанавливает зависимость силы тока от напряжения на концах участка цепи и сопротивления

  • Сопротивление проводника

    Сопротивление проводника

    где ρ — удельное сопротивление проводника, — его длина, S — площадь сечения проводника.

  • При последовательном соединении проводников:

    При последовательном соединении проводников

  • При параллельном соединении проводников:

    При параллельном соединении проводников

  • При упорядоченном движении заряженных частиц в проводнике электрическое поле совершает работу.

    Работу электрического тока на участке цепи определяют по формуле:

    Работу электрического тока на участке цепи определяют по формуле

  • Мощность электрического тока определяют по формуле:

    Мощность электрического тока определяют по формуле

  • Закон Джоуля—Ленца определяет количество теплоты, которое выделяет проводник с током в окружающую среду.

    Количество теплоты, выделяемое на любом участке цепи, содержащем различные проводники, в соответствии с законом Джоуля—Ленца вычисляют по формуле:

    Количество теплоты, выделяемое на любом участке цепи, содержащем различные проводники, в соответствии с законом Джоуля—Ленца вычисляют по формуле

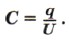
  • Электроёмкость кондесатора вычисляется по формуле:

    Электроёмкость кондесатора вычисляется по формуле

    Проверь себя

    1. Можно ли утверждать, что при натирании одного тела о другое у этих тел возникает заряд одного знака?

      А. нельзя, так как при трении электроны переходят с одного тела на другое; одно тело получает избыточный заряд, другое теряет электроны
      Б. наэлектризовавшиеся тела имеют заряд одного знака В. при трении тела вообще не заряжаются

    2. Какая частица имеет наименьший отрицательный заряд?

      A. протон
      Б. электрон
      B. нейтрон
      Г. ион

    3. Электрическим током называют:

      A. хаотическое движение части
      Б. направленное движение заряженных частиц
      B. упорядоченное движение свободных электронов
      Г. силу, с которой электрическое поле действует на внесённый в него электрический заряд

    4. Установите соответствие между физическими величинами и единицами их измерения.

      A) сила тока                                               1)В
      Б) напряжение                                           2) Ом
      B) сопротивление                                       3) Вт
      Г) мощность электрического тока             4) А

    5. Закон Ома для участка цепи записывается:

      Закон Ома для участка цепи записывается:

    6. При последовательном соединении проводников для силы тока выполняется соотношение:

      При последовательном соединении проводников для силы тока выполняется соотношение

    7. При параллельном соединении проводников для напряжения на участке цепи выполняется соотношение:

      A. U = U1 = U2
      Б. U = U1 + U2
      B. R = R1 + R2
      Г. I = I1 + I2

    8. Сопротивление металлического проводника увеличивается при:

      A. уменьшении удельного сопротивления
      Б. увеличении удельного сопротивления
      B. уменьшении длины проводника
      Г. увеличении площади поперечного сечения

    9. При измерении напряжения на участке цепи вольтметр в цепь подключают:

      A. последовательно
      Б. параллельно
      B. или последовательно, или параллельно


    1. Выполните задания, предложенные в электронном приложении.

    2. На сайте http://class-fizika.narod.ru найдите тесты по теме «Электрические явления» и проверьте себя.

     

  •  

    ???????@Mail.ru