Главная >> Физика 8 класс. Перышкин. Онлайн учебник

Лабораторная работа № 2

Измерение удельной теплоёмкости твёрдого тела

Цель работы

Определить удельную теплоёмкость металлического цилиндра.

Приборы и материалы

Стакан с водой, калориметр, термометр, весы, гири, металлический цилиндр на нити, сосуд с горячей водой.

Указания к работе

1. Налейте в калориметр воду массой 100—150 г комнатной температуры. Измерьте температуру воды.

2. Нагрейте цилиндр в сосуде с горячей водой. Измерьте её температуру (эта температура и будет начальной температурой цилиндра). Затем опустите его в калориметр с водой.

3. Измерьте температуру воды в калориметре после опускания цилиндра.

4. С помощью весов определите массу металлического цилиндра, предварительно обсушив его.

5. Все данные измерений запишите в таблицу.

Все данные измерений запишите в таблицу.

6. Рассчитайте:

а) количество теплоты Q1, которое получила вода при нагревании:

Q1 = c1m1(t - t1),

с1 — удельная теплоёмкость воды;

б) количество теплоты Q2, отданное металлическим цилиндром при охлаждении:

Q2 = с2m2(t2 - t),

с2 — удельная теплоёмкость вещества цилиндра, значение которой надо определить.

Зная, что количество теплоты, полученное водой при нагревании, равно количеству теплоты, отданному цилиндром при охлаждении, можно записать:

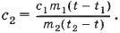
Q1 = Q2, или c1m1(t - t1) = c2m2(t2 - t).

В полученном уравнении неизвестной величиной является удельная теплоёмкость с2; Подставив в уравнение значения величин, измеренных на опыте, вычислите с2 — удельную теплоёмкость вещества, из которого изготовлен цилиндр. Сравните её с табличным значением.

 

 

???????@Mail.ru