Главная >> Физика 9 класс. Перышкин. Онлайн учебник

Глава 1. Законы взаимодействия и движения тел

§ 13. Свободное падение тел

  • Свободным падением называется движение тел под действием силы тяжести.

Равноускоренное движение свободно падающего шарика

Падение тел, наблюдаемое нами в повседневной жизни, строго говоря, не является свободным, поскольку помимо силы тяжести на тела действует сила сопротивления воздуха. Но если сила сопротивления пренебрежимо мала по сравнению с силой тяжести, то движение тела очень близко к свободному (как, например, при падении маленького тяжёлого гладкого шарика).

Тела падают свободно в безвоздушном пространстве, например внутри сосуда, из которого откачан воздух.

Поскольку сила тяжести, действующая на каждое тело вблизи поверхности земли, постоянна, то свободно падающее тело должно двигаться с постоянным ускорением, т. е. равноускоренно (это следует из второго закона Ньютона).

Опыты подтверждают этот вывод. На рисунке 28 показаны положения свободно падающего шарика, который фотографировали через каждые 0,1 с с момента начала движения1.

    1 Такие фотографии делают стробоскопическим методом. Свободно падающий в темноте шарик освещают кратковременными вспышками света стробоскопа через равные промежутки времени. Положения шарика в моменты вспышек фиксируются на плёнке фотоаппарата, затвор которого открыт в течение всего времени падения шарика.

Стробоскоп

Мы знаем, что модули векторов перемещений, совершаемых телом при прямолинейном равноускоренном движении за последовательные равные промежутки времени, относятся как ряд последовательных нечётных чисел. Именно такой ряд и образуют соответствующие перемещения шарика, показанные на рисунке 28:

перемещения шарика

Таким образом, отношение модулей векторов перемещений, совершённых шариком за последовательные равные промежутки времени, свидетельствует о том, что шарик в свободном падении двигался равноускоренно.

Не испытывая сопротивления воздуха, все тела в трубке совершают свободное падение

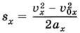
Из рисунка 28 видно, что с момента начала движения шарик прошёл 1,23 м за 0,5 с, причём его начальная скорость была равна нулю. По этим данным можно вычислить модуль вектора ускорения шарика, выразив его из формулы

Свободное падение шарика

Свободное падение шарика происходит с ускорением 9,8 м/с2.

А с каким ускорением будут свободно падать другие тела, например кусочек ваты, картонная коробка из-под обуви, деревянная бусинка? Другими словами: зависит ли ускорение при свободном падении тел от их массы, объёма, формы и т. д.?

Ответ на этот вопрос даёт опыт, изображённый на рисунке 29. В стеклянной трубке длиной, приблизительно равной 0,8 м, находятся: кусочек пробки, дробинка, птичье пёрышко и монетка. Концы трубки герметично закупорены резиновыми пробками, в одной из которых имеется кран. Откачаем воздух из трубки и закроем кран. При перевёртывании трубки мы видим, что все находящиеся в ней тела одновременно достигают дна. В любой момент времени все эти предметы имеют одинаковые мгновенные скорости, а значит, движутся с одинаковым ускорением, которое называется ускорением свободного падения и обозначается буквой g (первой буквой латинского слова gravitas — «тяжесть»).

  • Ускорение свободного падения — ускорение, с которым движется тело во время свободного падения.

Свободное падение спортсменки, совершающей прыжок с вышки в воду

Существуют способы определения числового значения g с большей точностью (например, до 0,00001 м/с2). Но при решении задач школьного курса физики, где не требуется высокой точности результата, обычно используют значение 9,8 м/с2 или даже 10 м/с2.

Свободное падение описывается теми же формулами, что и любое равноускоренное движение. Например, при падении из состояния покоя проекции векторов скорости и перемещения рассчитываются по формулам x = axt, если начальная скорость не равна нулю, то и т. д. Только вместо ах, обозначающего проекцию произвольного ускорения, ставят gx, подчёркивая тем самым, что любое свободно падающее тело движется с ускорением свободного падения. Поэтому формулы выглядят так:

свободно падающее тело движется с ускорением свободного падения

При движении тела вниз векторы ускорения свободного падения, скорости и перемещения направлены в одну и ту же сторону, поэтому их проекции имеют одинаковые знаки.

В воздухе падение шарика допустимо считать свободным, а кусочка ваты — нет

Вывод о том, что все тела, независимо от их масс, форм и размеров, совершают свободное падение совершенно одинаково, на первый взгляд может показаться противоречащим нашему повседневному опыту. Мы видим, что тяжёлые тела достигают земли быстрее, чем лёгкие, падающие с той же высоты.

На самом деле никакого противоречия здесь нет. Просто обычно мы наблюдаем падение тел в воздухе, который действует на падающее тело с некоторой силой, оказывая сопротивление движению.

Если рассматривать, например, падение в воздухе маленького тяжёлого шарика (рис. 30, а), то силой сопротивления воздуха можно пренебречь по сравнению с действующей на шарик силой тяжести и с некоторым приближением считать, что шарик свободно падает. Из рисунка видно, что равнодействующая (ш) сил тяжести и сопротивления воздуха, придающая шарику ускорение, мало отличается от силы тяжести (тяж. ш), поэтому шарик движется с ускорением, близким к .

Роняя шары разных масс с Пизанской башни, Галилей доказал независимость ускорения свободного падения от массы падающего тела

Но падение в воздухе кусочка ваты (рис. 30, б) никак нельзя считать свободным, так как в этом случае сила сопротивления составляет значительную часть от силы тяжести и равнодействующая сила (в) значительно меньше силы тяжести (тяж. в). Поэтому кусочек ваты падает в воздухе с гораздо меньшим ускорением, чем при свободном падении.

К выводу о том, что ускорение свободного падения не зависит от массы тела, первым пришёл Галилей в конце XVI в. Одновременно роняя с башни тяжёлые шары и наблюдая за их падением, он обнаружил, что шары, имея разные массы, достигали земли почти одновременно.

Зная, с каким ускорением движется любое тело под действием силы тяжести, согласно второму закону Ньютона, можно записать формулу для нахождения модуля вектора силы тяжести, действующей на тело произвольной массы m:

Fтяж = 9,8 м/с2 • m.

Сравнивая эту формулу с той, которая была дана в курсе физики 7 класса:

Fтяж = 9,8 Н/кг • m,

можно заметить, что они отличаются только единицами при коэффициенте 9,8. Покажем, что Н/кг можно преобразовать в м/с2.

В § 11 было показано, что 1 Н = 1 кг • м/с2.

Следовательно, т. е. 9,8 Н/кг = 9,8 м/с2.

Вопросы

1. Что называется свободным падением тел?
2. Как доказать, что свободное падение шарика, изображённого на рисунке 28, было равноускоренным?
3. С какой целью ставился опыт, изображённый на рисунке 29, и какой вывод из него следует?
4. Что такое ускорение свободного падения?
5. Почему в воздухе кусочек ваты падает с меньшим ускорением, чем железный шарик?
6. Кто первым пришёл к выводу о том, что свободное падение является равноускоренным движением?

Упражнение 13

1. С какой высоты свободно падала сосулька, если расстояние до земли она преодолела за 4 с?

2. Определите время падения монетки, если её выронили из рук на высоте 80 см над землёй. (Принять g = 10 м/с2.)

3. Маленький стальной шарик упал с высоты 45 м. Сколько времени длилось его падение? Какое перемещение совершил шарик за первую и последнюю секунды своего движения? (Принять g = 10 м/с2.)

 

 

???????@Mail.ru