Главная >> Физика 9 класс. Перышкин. Онлайн учебник

Глава 1. Законы взаимодействия и движения тел

§ 19. Искусственные спутники Земли

Обратимся ещё раз к рисунку 34, (б). Если шарик толкнуть, а затем предоставить самому себе, то он опишет некоторую дугу и остановится. Причиной остановки шарика является действие на него силы трения и силы сопротивления воздуха, препятствующих движению и уменьшающих его скорость.

Если уменьшить действие тормозящих сил, то шарик может описать вокруг точки О одну или несколько окружностей, прежде чем остановится (при этом крепление шнура в точке О должно быть таким, чтобы оно не препятствовало движению шарика).

Если бы нам удалось устранить все силы сопротивления движению, то шарик бесконечно двигался бы вокруг точки О по замкнутой кривой, например по окружности. При этом направление скорости шарика непрерывно менялось бы под действием силы, направленной к центру окружности.

Копия рисунка Ньютона

Примером подобного движения служит обращение планет вокруг Солнца и спутников вокруг планет.

Рассмотрим более детально вопрос о запуске и движении искусственных спутников Земли (сокращенно ИСЗ).

Чтобы понять, при каких условиях тело может стать искусственным спутником Земли, рассмотрим рисунок 42. Он представляет собой копию рисунка, сделанного Ньютоном. На этом рисунке изображён земной шар, а на нём показана высокая гора, с вершины которой бросают камни, придавая им различные по модулю горизонтально направленные скорости.

Земля, окружённая ИСЗ и так называемым космическим мусором

В подписи к рисунку говорится: «Брошенный камень отклонится под действием силы тяжести от прямолинейного пути и, описав кривую траекторию, упадёт, наконец, на Землю. Если его бросить с большой скоростью, то он упадёт дальше». Продолжая эти рассуждения, Ньютон приходит к выводу, что при отсутствии сопротивления воздуха и при достаточно большой скорости тело вообще может не упасть на Землю, а будет описывать круговые траектории, оставаясь на одной и той же высоте над Землёй. Такое тело становится искусственным спутником Земли.

Движение спутника является примером свободного падения, так как происходит только под действием силы тяжести. Но спутник не падает на Землю благодаря тому, что обладает достаточно большой скоростью, направленной по касательной к окружности, по которой он движется. Так, естественный спутник Земли Луна (рис. 43) обращается вокруг планеты около четырёх миллиардов лет.

Значит, для того чтобы некоторое тело стало искусственным спутником Земли, его нужно вывести за пределы земной атмосферы и придать ему определённую скорость, направленную по касательной к окружности, по которой он будет двигаться.

Обращение Луны вокруг Земли является примером свободного падения

Наименьшая высота над поверхностью Земли, на которой сопротивление воздуха практически отсутствует, составляет примерно 300 км. Поэтому обычно спутники запускают на высоте 300—400 км от земной поверхности.

Выведем формулу для расчёта скорости, которую надо сообщить телу, чтобы оно стало искусственным спутником Земли, двигаясь вокруг неё по окружности.

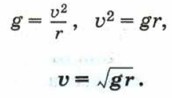
Движение спутника происходит под действием одной только силы тяжести. Эта сила сообщает ему ускорение свободного падения g, которое в данном случае выполняет роль центростремительного ускорения.

Вы уже знаете, что центростремительное ускорение определяется по формуле:

Значит, для спутника

для спутника центростремительное ускорение определяется по формуле

По этой формуле определяется скорость, которую надо сообщить телу, чтобы оно обращалось по окружности вокруг Земли на расстоянии r от её центра.

Эта скорость называется первой космической скоростью (круговой).

Если высота h спутника над поверхностью Земли мала по сравнению с земным радиусом, то ею можно пренебречь и считать, что r ≠ R3. Обозначим ускорение свободного падения вблизи поверхности Земли g0.

Тогда формула для расчёта первой космической скорости спутника, движущегося вблизи поверхности Земли, будет выглядеть так:

формула для расчёта первой космической скорости спутника

Рассчитаем эту скорость, принимая радиус Земли равным 6400 км (или 6,4 • 106 м), а g0 = 9,8 м/с2.

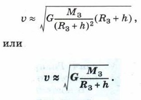
Если же высотой h спутника над Землёй пренебречь нельзя, то расстояние r от центра Земли до спутника и ускорение свободного падения g на высоте h определяются по следующим формулам:

ускорение свободного падения

В этом случае формула для расчёта первой космической скорости примет вид:

формула для расчёта первой космической скорости примет вид

По этой формуле можно рассчитать первую космическую скорость спутника любой планеты, если вместо массы и радиуса Земли подставить соответственно массу и радиус данной планеты.

Из формулы следует, что чем больше высота h, на которой запускается спутник, тем меньшую скорость и ему нужно сообщить для его движения по круговой орбите (так как h стоит в знаменателе дроби). Например, на высоте 300 км над поверхностью Земли первая космическая скорость приблизительно равна 7,8 км/с, а на высоте 500 км — 7,6 км/с.

Первый искусственный спутник Земли

Если скорость тела, запускаемого на высоте h над Землёй, превышает соответствующую этой высоте первую космическую, то его орбита представляет собой эллипс (см. рис. 42, внешнюю траекторию). Чем больше скорость, тем более вытянутой будет эллиптическая орбита. При скорости, равной 11,2 км/с, которая называется второй космической скоростью, тело преодолевает притяжение к Земле и уходит в космическое пространство.

Для запуска спутников применяют ракеты. Двигатели ракеты должны совершить работу против сил тяжести и сил сопротивления воздуха, а также сообщить спутнику соответствующую скорость.

Космический корабль «Восток»

4 октября 1957 г. в Советском Союзе был запущен первый в истории человечества искусственный спутник Земли. Спутник в виде шара диаметром 58 см и массой 83,6 кг и ракета- носитель долгое время двигались над Землёй на высоте в несколько сотен километров.

12 апреля 1961 г. первый в мире лётчик-космонавт, наш соотечественник Юрий Алексеевич Гагарин совершил полёт в космос на космическом корабле «Восток».

В настоящее время сотни спутников запускаются каждый год в научно-исследовательских и практических целях: для осуществления теле- и радиосвязи, исследования атмосферы, прогнозирования погоды и т. д.

Вопросы

1. Приведите примеры (из области астрономии), доказывающие, что при отсутствии сил сопротивления тело может неограниченно долго двигаться по замкнутой траектории под действием силы, меняющей направление скорости движения этого тела.
2. Почему спутники, обращаясь вокруг Земли под действием силы тяжести, не падают на Землю?
3. Можно ли считать обращение спутника вокруг Земли свободным падением?
4. Что необходимо сделать с физическим телом, чтобы оно стало искусственным спутником Земли?
5. Выведите формулу для расчёта первой космической скорости спутника, движущегося по круговой орбите вблизи поверхности Земли.
6. Как движется спутник, обладающий первой космической скоростью; второй космической скоростью?

Упражнение 19

1. Определите скорость искусственного спутника Земли, если он движется по круговой орбите на высоте 2600 км над поверхностью Земли. (М3 = 6 • 1024 кг; R3 = 6,4 • 106м.)

2. Если бы на круговую орбиту вблизи поверхности Луны был выведен искусственный спутник, то он двигался бы со скоростью 1,67 км/с. Определите радиус Луны, если известно, что ускорение свободного падения на её поверхности равно 1,6 м/с2.

 

 

???????@Mail.ru