Главная >> Физика 9 класс. Перышкин. Онлайн учебник

Законы взаимодействия и движения тел

Итоги главы: Законы взаимодействия и движения тел

Самое главное

Ниже даны названия физических законов и их формулировки. Последовательность изложения формулировок законов не соответствует последовательности их названий.

Перенесите в тетрадь названия физических законов и в квадратные скобки впишите порядковый номер формулировки, соответствующей названному закону.

  • Первый закон Ньютона (закон инерции) [ ];
  • второй закон Ньютона [ ];
  • третий закон Ньютона [ ];
  • закон всемирного тяготения [ ];
  • закон сохранения импульса [ ];
  • закон сохранения механической энергии [ ].

1. Ускорение тела прямо пропорционально равнодействующей сил, приложенных к телу, и обратно пропорционально его массе.

2. Механическая энергия замкнутой системы тел остаётся постоянной, если между телами системы действуют только силы тяготения и силы упругости и отсутствуют силы трения.

3. Два любых тела притягиваются друг к другу с силой, прямо пропорциональной массе каждого из них и обратно пропорциональной квадрату расстояния между ними.

4. Векторная сумма импульсов тел, составляющих замкнутую систему, не меняется с течением времени при любых движениях и взаимодействиях этих тел.

5. Существуют такие системы отсчёта, относительно которых тела сохраняют свою скорость неизменной, если на них не действуют другие тела или действия других тел компенсируются.

6. Силы, с которыми два тела действуют друг на друга, равны по модулю и противоположны по направлению.

Проверь себя

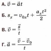
1. Определением скорости прямолинейного равномерного движения является уравнение

    Определением скорости прямолинейного равномерного движения является уравнение

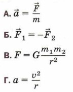
2. Второй закон Ньютона представлен уравнением

    Второй закон Ньютона представлен уравнением

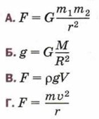
3. Закон всемирного тяготения представлен уравнением

    Закон всемирного тяготения представлен уравнением

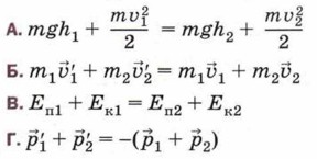
4. Закон сохранения импульса представлен уравнением

    Закон сохранения импульса представлен уравнением

 

 

???????@Mail.ru