Главная >> Физика 9 класс. Перышкин. Онлайн учебник

Глава 1. Законы взаимодействия и движения тел

§ 5. Прямолинейное равноускоренное движение. Ускорение

В 7 классе вы изучали механическое движение тел, происходящее с постоянной скоростью, т. е. равномерное движение.

Теперь мы переходим к рассмотрению неравномерного движения. Из всех видов неравномерного движения мы будем изучать самое простое — прямолинейное равноускоренное, при котором тело движется вдоль прямой линии, а проекция вектора скорости тела за любые равные промежутки времени меняется одинаково (при этом модуль вектора скорости может как увеличиваться, так и уменьшаться).

Например, если скорость движущегося по взлётной полосе самолёта за любые 10 с увеличивается на 15 м/с, за любые 5 с — на 7,5 м/с, в каждую секунду — на 1,5 м/с и т. д., то самолёт движется равноускоренно.

Самолёт, равноускоренно разгоняющийся по взлётной полосе

В данном случае под скоростью движения самолёта подразумевается его так называемая мгновенная скорость, т. е. скорость в каждой конкретной точке траектории в соответствующий момент времени (более строгое определение мгновенной скорости будет дано в курсе физики старших классов).

Мгновенная скорость тел, движущихся равноускоренно, может меняться по-разному: в одних случаях быстрее, в других — медленнее. Например, скорость обычного пассажирского лифта средней мощности за каждую секунду разгона увеличивается на 0,4 м/с, а скоростного — на 1,2 м/с. В таких случаях говорят, что тела движутся с разным ускорением.

Рассмотрим, какая физическая величина называется ускорением.

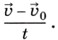
Пусть скорость некоторого тела, движущегося равноускоренно, за промежуток времени t изменилась от 0 до . Под 0 подразумевается начальная скорость тела, т. е. скорость в момент t0 = 0, принятый за начало отсчёта времени. А — это скорость, которую тело имело к концу промежутка времени t, отсчитываемого от t0 = 0. Тогда за каждую единицу времени скорость менялась на величину, равную

Это отношение обозначается символом и называется ускорением:

ускорение

  • Ускорением тела при прямолинейном равноускоренном движении называется векторная физическая величина, равная отношению изменения скорости к промежутку времени, за который это изменение произошло.

    Равноускоренное движение
— это движение с постоянным ускорением.

Ускорение — векторная величина, которая характеризуется не только модулем, но и направлением.

Модуль вектора ускорения показывает, на сколько меняется модуль вектора скорости в каждую единицу времени. Чем больше ускорение, тем быстрее меняется скорость тела.

За единицу ускорения в СИ принимается ускорение такого равноускоренного движения, при котором за 1 с скорость тела изменяется на 1 м/с:

единицей ускорения является метр на секунду в квадрате

Таким образом, в СИ единицей ускорения является метр на секунду в квадрате (м/с2).

Применяются и другие единицы ускорения, например 1 см/с2.

Равноускоренное движение санок, скатывающихся с горы (АВ) и продолжающих движение по равнине (CD)

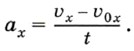
Вычислить ускорение тела, движущегося прямолинейно и равноускоренно, можно с помощью следующего уравнения, в которое входят проекции векторов ускорения и скорости:

проекции векторов ускорения и скорости

Покажем на конкретных примерах, как находится ускорение.

На рисунке 8, (а) изображены санки, которые равноускоренно скатываются с горы.

Известно, что участок пути АВ санки прошли за 4 с. При этом в точке А они имели скорость, равную 0,4 м/с, а в точке В — скорость, равную 2 м/с (санки приняты за материальную точку).

Определим, с каким ускорением двигались санки на участке АВ.

В данном случае за начало отсчёта времени следует принять момент прохождения санками точки А, поскольку согласно условию именно от этого момента отсчитывается промежуток времени, за который модуль вектора скорости изменился от 0,4 до 2 м/с.

Теперь проведём ось X, параллельную вектору скорости движения санок и направленную в ту же сторону. Спроецируем на неё начала и концы векторов 0 и . Образовавшиеся при этом отрезки 0x и x являются проекциями векторов 0 и на ось X. Обе эти проекции положительны и равны модулям соответствующих векторов: 0x = 0,4 м/с, x = 2 м/с.

Запишем условие задачи и решим её.

условие задачи

Проекция вектора ускорения на ось X получилась положительной, значит, вектор ускорения сонаправлен с осью X и со скоростью движения санок.

Если векторы скорости и ускорения направлены в одну сторону, то скорость растёт. Теперь рассмотрим другой пример, в котором санки, скатившись с горы, движутся по горизонтальному участку CD (рис. 8,6).

В результате действия на санки силы трения их скорость непрерывно уменьшается, и в точке D санки останавливаются, т. е. их скорость равна нулю. Известно, что в точке С санки имели скорость 1,2 м/с, а участок CD был пройден ими за 6 с.

Рассчитаем ускорение санок в этом случае, т. е. определим, на сколько менялась скорость санок за каждую единицу времени.

Началом отсчёта времени будем считать момент, когда санки проходят точку С. Тогда модуль вектора начальной скорости равен 1,2 м/с, а конечной — нулю.

Проведём ось X параллельно отрезку CD и сонаправим её со скоростью движения санок, как показано на рисунке. При этом проекция вектора скорости санок на ось X в любой момент их движения будет положительна и равна модулю вектора скорости. В частности, при t0 = 0 0x =1,2 м/с, а при t = 6 с x = 0.

Запишем данные и вычислим ускорение.

Запишем данные и вычислим ускорение

Проекция ускорения на ось X отрицательна. Это значит, что вектор ускорения а направлен противоположно оси X и соответственно противоположно скорости движения. При этом скорость санок уменьшалась.

Таким образом, если векторы скорости и ускорения движущегося тела направлены в одну сторону, то модуль вектора скорости тела увеличивается, а если в противоположные — уменьшается.

Вопросы

1. К какому виду движения — равномерному или неравномерному — относится прямолинейное равноускоренное движение?
2. Что понимают под мгновенной скоростью неравномерного движения?
3. Дайте определение ускорения равноускоренного движения. Какова единица ускорения?
4. Что такое равноускоренное движение?
5. Что показывает модуль вектора ускорения?
6. При каком условии модуль вектора скорости движущегося тела увеличивается; уменьшается?

Упражнение 5

векторы скорости изображены
в одинаковом масштабе на рисунке 9

1. За один и тот же промежуток времени t модуль вектора скорости первого автомобиля изменился от 1 до ', а второго — от 2 до ' (векторы скорости изображены в одинаковом масштабе на рисунке 9). Какой из автомобилей двигался в указанный промежуток с бо́льшим ускорением? Скорость какого из них возрастала быстрее?

2. Самолёт, разгоняясь перед взлётом, в течение некоторого промежутка времени двигался равноускоренно. Каково было при этом ускорение самолёта, если за 30 с его скорость возросла от 10 до 55 м/с?

3. С каким ускорением двигался поезд на некотором участке пути, если за 12 с его скорость возросла на 6 м/с?

 

 

???????@Mail.ru