Главная >> Физика 9 класс. Перышкин. Онлайн учебник

Глава 4. Строение атома и атомного ядра. Использование энергии атомных ядер

§ 57. Энергия связи. Дефект массы

Для того чтобы разбить ядро на отдельные, не взаимодействующие между собой (свободные) нуклоны, необходимо произвести работу по преодолению ядерных сил, т. е. сообщить ядру определённую энергию. Наоборот, при соединении свободных нуклонов в ядро выделяется такая же энергия (по закону сохранения энергии).

  • Минимальная энергия, необходимая для расщепления ядра на отдельные нуклоны, называется энергией связи ядра.

Альберт Эйнштейн

Каким же образом можно определить величину энергии связи ядра?

Наиболее простой путь нахождения этой энергии основан на применении закона о взаимосвязи массы и энергии, открытого немецким учёным Альбертом Эйнштейном в 1905 г.

Согласно этому закону между массой m системы частиц и энергией покоя, т. е. внутренней энергией Е0 этой системы, существует прямая пропорциональная зависимость:

энергия покоя

где с — скорость света в вакууме.

Если энергия покоя системы частиц в результате каких-либо процессов изменится на величину ΔE01, то это повлечёт за собой соответствующее изменение массы этой системы на величину Δm, причём связь между этими величинами выразится равенством:

    1 Греческой буквой Δ («дельта») принято обозначать изменение той физической величины, перед символом которой эта буква ставится.

Таким образом, при слиянии свободных нуклонов в ядро в результате выделения энергии (которая уносится излучаемыми при этом фотонами) должна уменьшиться и масса нуклонов. Другими словами, масса ядра всегда меньше суммы масс нуклонов, из которых оно состоит.

Недостаток массы ядра Δm по сравнению с суммарной массой составляющих его нуклонов можно записать так:

где Мя — масса ядра, Z и N — число протонов и нейтронов в ядре, а mр и mn — массы свободных протона и нейтрона.

Величина Δm называется дефектом массы. Наличие дефекта массы подтверждается многочисленными опытами.

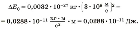
Рассчитаем, например, энергию связи ΔЕ0 ядра атома дейтерия (тяжёлого водорода), состоящего из одного протона и одного нейтрона. Другими словами, рассчитаем энергию, необходимую для расщепления ядра на протон и нейтрон.

Для этого определим сначала дефект массы Δm этого ядра, взяв приближённые значения масс нуклонов и массы ядра атома дейтерия из соответствующих таблиц. Согласно табличным данным, масса протона приблизительно равна 1,0073 а. е. м., масса нейтрона — 1,0087 а. е. м., масса ядра дейтерия — 2,0141 а. е. м. Значит, Δm = (1,0073 а. е. м. + 1,0087 а. е. м.) - 2,0141 а. е. м. = 0,0019 а. е. м.

Чтобы энергию связи получить в джоулях, дефект массы нужно выразить в килограммах.

Учитывая, что 1 а. е. м. = 1,6605 • 10-27 кг, получим:

Δm = 1,6605 • 10-27 кг • 0,0019 = 0,0032 • 10-27 кг.

Подставив это значение дефекта массы в формулу энергии связи, получим:

Энергию, выделяющуюся или поглощающуюся в процессе любых ядерных реакций, можно рассчитать, если известны массы взаимодействующих и образующихся в результате этого взаимодействия ядер и частиц.

Вопросы

1. Что называется энергией связи ядра?
2. Запишите формулу для определения дефекта массы любого ядра.
3. Запишите формулу для расчёта энергии связи ядра.

 

 

???????@Mail.ru