Главная >> Физика 9 класс. Перышкин. Онлайн учебник

Глава 4. Строение атома и атомного ядра. Использование энергии атомных ядер

§ 61. Биологическое действие радиации. Закон радиоактивного распада

Известно, что радиоактивные излучения при определённых условиях могут представлять опасность для здоровья живых организмов. В чём причина негативного воздействия радиации на живые существа?

Дело в том, что α-, β- и γ-частицы, проходя через вещество, ионизируют его, выбивая электроны из молекул и атомов. Ионизация живой ткани нарушает жизнедеятельность клеток, из которых эта ткань состоит, что отрицательно сказывается на здоровье всего организма. Чем больше энергии получает человек от действующего на него потока частиц и чем меньше при этом масса человека (т. е. чем большая энергия приходится на каждую единицу массы), тем к более серьёзным нарушениям в его организме это приведёт.

  • Энергия ионизирующего излучения, поглощённая облучаемым веществом (в частности, тканями организма) и рассчитанная на единицу массы, называется поглощённой дозой излучения.

Поглощённая доза излучения D равна отношению поглощённой телом энергии Е к его массе m:

Поглощённая доза излучения

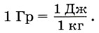
В СИ единицей поглощённой дозы излучения является грэй (Гр).

Из этой формулы следует, что

В СИ единицей поглощённой дозы излучения является грэй (Гр)

Это означает, что поглощённая доза излучения будет равна 1 Гр, если веществу массой 1 кг передаётся энергия излучения в 1 Дж.

В определённых случаях (например, при облучении мягких тканей живых существ рентгеновским или γ-излучением) поглощённую дозу можно измерять в рентгенах (Р): 1 Гр соответствует приблизительно 100 Р.

Чем больше поглощённая доза излучения, тем больший вред (при прочих равных условиях) может нанести организму это излучение.

Но для достоверной оценки тяжести последствий, к которым может привести действие ионизирующих излучений, необходимо учитывать также, что при одинаковой поглощённой дозе разные виды излучений вызывают разные по величине биологические эффекты.

Биологические эффекты, вызываемые любыми ионизирующими излучениями, принято оценивать по сравнению с эффектом от рентгеновского или от γ-излучения. Например, при одной и той же поглощённой дозе биологический эффект от действия a-излучения будет в 20 раз больше, чем от γ-излучения, от действия быстрых нейтронов эффект может быть в 10 раз больше, чем от γ-излучения, от действия β-излучения — такой же, как от γ-излучения.

В связи с этим принято говорить, что коэффициент качества α-излучения равен 20, вышеупомянутых быстрых нейтронов — 10, при том что коэффициент качества γ-излучения (так же как рентгеновского и β-излучения) считается равным единице. Таким образом,

  • коэффициент качества К показывает, во сколько раз радиационная опасность от воздействия на живой организм данного вида излучения больше, чем от воздействия у-излучения (при одинаковых поглощённых дозах).

Для оценки биологических эффектов была введена величина, называемая эквивалентной дозой.

Эквивалентная доза Н определяется как произведение поглощённой дозы D и коэффициента качества К:

Эквивалентная доза

Эквивалентная доза может измеряться в тех же единицах, что и поглощённая, однако для её измерения существуют и специальные единицы.

В СИ единицей эквивалентной дозы является зи́верт (Зв). Применяются также дольные единицы: миллизиверт (мЗв), микрозиверт (мкЗв) и др.

Из этой формулы следует, что для рентгеновского, γ- и β-излучений (для которых К = 1) 1 Зв соответствует поглощённой дозе в 1 Гр, а для всех остальных видов излучения — дозе в 1 Гр, умноженной на соответствующий данному излучению коэффициент качества.

При оценке воздействий ионизирующих излучений на живой организм учитывают и то, что одни части тела (органы, ткани) более чувствительны, чем другие. Например, при одинаковой эквивалентной дозе возникновение рака в лёгких более вероятно, чем в щитовидной железе. Другими словами, каждый орган и ткань имеют определённый коэффициент радиационного риска (для лёгких, например, он равен 0,12, а для щитовидной железы — 0,03).

Поглощённая и эквивалентная дозы зависят и от времени облучения (т. е. от времени взаимодействия излучения со средой). При прочих равных условиях эти дозы тем больше, чем больше время облучения, т. е. дозы накапливаются со временем.

При оценке степени опасности, которую радиоактивные изотопы представляют для живых существ, важно учитывать и то, что число радиоактивных (т. е. ещё не распавшихся) атомов в веществе уменьшается с течением времени. При этом пропорционально уменьшается число радиоактивных распадов в единицу времени и излучаемая энергия.

Энергия, как вы уже знаете, является одним из факторов, определяющих степень отрицательного воздействия излучения на человека. Поэтому так важно найти количественную зависимость (т. е. формулу), по которой можно было бы рассчитать, сколько радиоактивных атомов остаётся в веществе к любому заданному моменту времени.

Для вывода этой зависимости необходимо знать, что скорость уменьшения количества радиоактивных ядер у разных веществ различна и зависит от физической величины, называемой периодом полураспада.

  • Период полураспада Т — это промежуток времени, в течение которого исходное число радиоактивных ядер в среднем уменьшается вдвое.

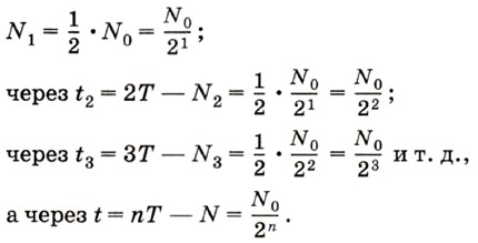
Выведем зависимость числа N радиоактивных атомов от времени t и периода полураспада Т. Время будем отсчитывать от момента начала наблюдения t0 = 0, когда число радиоактивных атомов в источнике излучения было равно N0. Тогда через промежуток времени t1 = Т число радиоактивных атомов будет

Формула называется законом радиоактивного распада. Её можно записать и в другом виде, например Из последней формулы следует, что чем больше Т, тем меньше 2t/T и тем больше N (при заданных значениях N0 и t). Значит, чем больше период полураспада элемента, тем дольше он «живёт» и излучает, представляя опасность для живых организмов. В этом убеждают и представленные на рисунке 165 графики зависимости N от t, построенные для изотопов иода (131I, ТI = 8 сут) и селена (75Se, TSe = 120 сут).

Следует знать способы защиты от радиации. Радиоактивные препараты ни в коем случае нельзя брать в руки — их берут специальными щипцами с длинными ручками.

График зависимости числа радиоактивных атомов от времени для изотопов иода и селена

Легче всего защититься от α-излучения, так как оно обладает низкой проникающей способностью и поэтому задерживается, например, листом бумаги, одеждой, кожей человека. В то же время α-частицы, попавшие внутрь организма (с пищей, воздухом, через открытые раны), представляют большую опасность.

β-Излучение имеет гораздо большую проникающую способность, поэтому от его воздействия труднее защититься. β-Излучение может проходить в воздухе расстояние до 5 м; оно способно проникать и в ткани организма (примерно на 1—2 см). Защитой от β-излучения может служить, например, слой алюминия толщиной в несколько миллиметров.

Ещё большей проникающей способностью обладает γ-излучение, оно задерживается толстым слоем свинца или бетона. Поэтому γ-радиоактивные препараты хранят в толстостенных свинцовых контейнерах. По этой же причине в ядерных реакторах используют толстый бетонный слой, защищающий людей от γ-лучей и различных частиц (α-частиц, нейтронов, осколков деления ядер и пр.).

Вопросы

1. В чём причина негативного воздействия радиации на живые существа?
2. Что называется поглощённой дозой излучения? При большей или меньшей дозе излучение наносит организму больший вред, если все остальные условия одинаковы?
3. Одинаковый или различный по величине биологический эффект вызывают в живом организме разные виды ионизирующих излучений? Приведите примеры.
4. Что показывает коэффициент качества излучения? Какая величина называется эквивалентной дозой излучения?
5. Какой ещё фактор (помимо энергии, вида излучения и массы тела) следует учитывать при оценке воздействий ионизирующих излучений на живой организм?
6. Какой процент атомов радиоактивного вещества останется через 6 суток, если период его полураспада равен 2 суткам?
7. Расскажите о способах защиты от воздействия радиоактивных частиц и излучений.

 

 

???????@Mail.ru