Главная >> Физика 9 класс. Перышкин. Онлайн учебник

Глава 4. Строение атома и атомного ядра. Использование энергии атомных ядер

Итоги главы: Строение атома и атомного ядра

Самое главное

Ниже даны физические понятия и явления. Последовательность изложения определений и формулировок не соответствует последовательности понятий и т. п.

Перенесите в тетрадь названия понятий и в квадратные скобки впишите порядковый номер определения (формулировки), соответствующего данному понятию.

  • Радиоактивность [ ];
  • ядерная (планетарная) модель строения атома [ ]
  • атомное ядро [ ];
  • радиоактивные превращения атомных ядер [ ];
  • экспериментальные методы изучения частиц в атомной и ядерной физике [ ];
  • ядерные силы [ ];
  • энергия связи ядра [ ];
  • дефект масс атомного ядра [ ];
  • цепная реакция [ ];
  • ядерный реактор [ ];
  • экологические и социальные проблемы, возникающие при использовании АЭС [ ];
  • поглощённая доза излучения [ ].

1. Регистрация частиц с помощью счётчика Гейгера, изучение и фотографирование треков частиц (в том числе участвовавших в ядерных реакциях) в камере Вильсона и пузырьковой камере.

2. Силы притяжения, действующие между нуклонами в ядрах атомов и значительно превосходящие силы электростатического отталкивания между протонами.

3. Минимальная энергия, необходимая для расщепления ядра на отдельные нуклоны.

4. Самопроизвольное излучение атомами некоторых элементов радиоактивных лучей.

5. Устройство, предназначенное для осуществления управляемой ядерной реакции.

6. Состоит из нуклонов (т. е. из протонов и нейтронов).

7. Радиоактивные отходы, возможность аварий, содействие распространению ядерного оружия.

8. Атом состоит из расположенного в его центре положительно заряженного ядра, вокруг которого на расстоянии, значительно превышающем размер ядра, обращаются электроны.

9. Превращение одного химического элемента в другой при α- или β-распаде, в результате которого ядро исходного атома претерпевает изменения.

10. Разность между суммой масс нуклонов, образующих ядро, и массой этого ядра.

11. Самоподдерживающаяся реакция деления тяжёлых ядер, в которой непрерывно воспроизводятся нейтроны, делящие всё новые и новые ядра.

12. Энергия ионизирующего излучения, поглощённая излучаемым веществом (в частности, тканями организма) и рассчитанная на единицу массы.

Проверь себя

1. α-Распад представлен уравнением реакции

2. Поглощённая доза излучения определяется по формуле

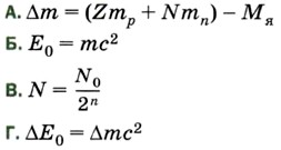
3. Взаимосвязь между изменением энергии покоя и дефектом массы представлена уравнением

4. Примером термоядерной реакции является реакция

 

 

???????@Mail.ru