Главная >> Алгебра 7 класс. Задачник с ГДЗ. Мордкович

Глава 1. Математический язык. Математическая модель

§ 1. Числовые и алгебраические выражения (окончание)

1.38. Составьте числовое выражение, значение которого равно при этом:

а) только одно действие;

б) сложение и вычитание;

в) умножение и деление;

г) сложение и деление.

1.39. Составьте числовое выражение, значение которого равно используя при этом:

    а) только одно действие;
    б) сложение и деление;
    в) деление и умножение;
    г) сложение и умножение.

1.40. Даны два числа 18 и 12. Запишите и найдите значение:

    а) произведения большего из чисел и разности квадратов этих чисел;
    б) частного от деления меньшего из этих чисел на их полусумму;
    в) суммы большего из этих чисел и частного от деления большего на меньшее;
    г) разности произведения этих чисел и их частного.

1.41. Даны два числа 7,2 и 6,4. Запишите и найдите значение:

    а) произведения большего из чисел и полуразности этих чисел;
    б) частного от деления меньшего из этих чисел на разность их квадратов;
    в) суммы большего из этих чисел и частного от деления большего на меньшее;
    г) частного от деления большего числа на меньшее.

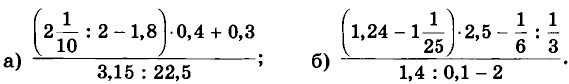
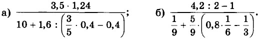
1.42. Найдите значение числового выражения:

1.43. Докажите, что значение дроби равно нулю:

1.44. Докажите, что данная дробь не имеет смысла:

1.45. В выражении 7 • 6 + 24 : 3 - 2 расставьте скобки так, чтобы его значение было:

    а) наименьшим;
    б) наибольшим.

1.46. Составьте числовое выражение, значение которого равно 100, используя перечисленные цифры и не меняя порядок их следования:

    а) 1, 2, 3, 4, 5;
    б) пять единиц;
    в) пять пятёрок;
    г) 1, 2, 3, 4, 5, 6, 7, 8, 9.

1.47. Составьте числовые выражения, используя в их записи только четыре четвёрки, так, чтобы эти выражения принимали следующие значения: 0, 1, 2, 3, 4, 5, 6, 7, 8, 9, 10.

<<< К началу      Решенния >>>

 

 

???????@Mail.ru