Главная >> Домашние работы к учебнику Мордкович. Алгебра 7 класс

Глава 1. Математический язык. Математическая модель

Числовые и алгебраические выражения

1.1. а) 3,5 + 4,5 = 8; б) 3,5 + (-4,5) = 1; в) -3,5 + 4,5 = 1; г) -3,5 + (-4,5) = -8.

1.2 а) 3,5 - 4,5 = -1; б) 3,5 - (-4,5) = 8; в) -3,5 - 4,5 = -8; г) -3,5 - (-4,5) = 1.

1.4. а) 1,5 • 3 = 4,5; б) -1,5 • 3 = -4,5; в) 1,5 • (-3) = -4,5; г) -1,5 • (-3) =4,5.

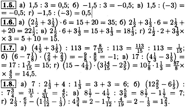
1.5. а) 1,5 : 3 = 0,5; б) -1,5 : 3 = -0,5; в) 1,5 : (-3) = -0,5; г) -1,5 : (-3) =0,5.

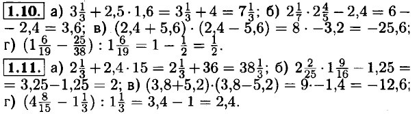
1.9. а) (0,018 + 0,982) : (8 • 0,5 - 0,8) = 0,3125; б) (0,008 + 0,992) : (5 • 0,6 - 1,4) = 1 : (3 - 1,4) = 1 : 1,6 = 0,625.

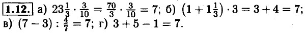
1.13 а) -1 • 2,5 = -2,5; б) (4 + 1) : (-2) = -2,5; в) (2 - 3,25) • 2 = -2,5; г) 3 + 0,5 - 6 = -2,5.

1.14. а) Переместительный закон сложения, б) Переместительный закон умножения, в) Сочетательный закон сложения, г) Распределительный закон сложения относительно умножения.

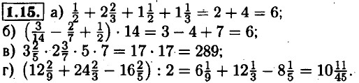
1.16. а) 4,16 + 2,5 + 6,04 + 3,5 = 4,16 + 6,04 + 2,5 + 3,5 = 10,2 + 6 = 16,2;
б) 7,3 + 1,6 - 0,3 - 0,6 = 7,3 - 0,3 + 1,6 - 0,6 = 7 + 1 = 8;
в) -1,06 + 0,04 - 7,04 + 2,16 = -1,06 + 2,16 - 7 = 1,1 - 7 = -5 9;
г) 18,9 - 6,8 - 5,2 - 4,1 = 12,1 - 4,1 - 5,2 = 8 - 5,2 = 2,8.

1.17. а) 7,8 • 6,3 + 7,8 • 13,7 = 7,8 • (6,3 + 13,7) = 7,8 • 20 = 15,6;
б) 6,95 • 3,42 • 5,05 = 6,95 • 3,42 • (5 + 0,05) = 6,95 • (17,1 + 0,171) = (7 - 0,05) • 17,271 = 120,897 - 0,86355 = 120,03345;
в) 17,96 • 0,1 - 0,1 • 81,90 = 0,1 • (17,96 - 81,96) = 0,1 • (-64) = -6,4;
г) 4,03 • 27,9 - 17,9 • 4,03 = 4,03 • (27,9 - 17,9) = 4,03 • 10 = 40,3.

<<< К началу   Решенния (окончание) >>>

 

 

???????@Mail.ru