Главная >> ГДЗ к учебнику Мордкович. Алгебра 7 класс

Глава 1. Математический язык. Математическая модель

Числовые и алгебраические выражения (окончание)

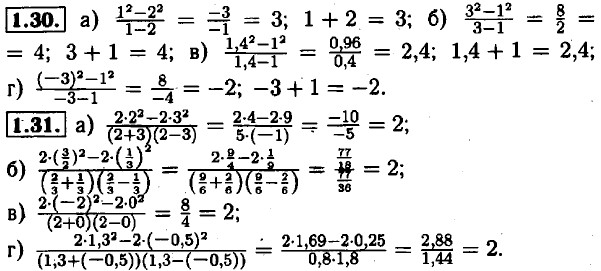
1.29. а) 172 - 132 = (17 + 13)(17 - 13); 289 -169 = 30 • 4; 120 = 120;
б) (-15)2 - 122 = (-15 + 12)(-15 - 12); 225 - 144 = -3 • -27; 81 = 81;
в) (-13)2 - (-5)2 - (-13+ (-5))(- (-5)); 169 - 25 = -18 • -8; 144 = 144;
г) 52 - (-4)2 = (5 + (-4))(5 - (-4)); 25 - 16 = 1 • 9; 9 = 9.

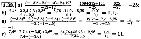
1.32. a) 82 - 2 • 8 • 3 + 32 = 64 - 48 + 9 = 25; (8 - 3)2 = 52 = 25;
б) 7,62 - 2 • 7,6 • (-1,4) + 1,42 = 57,76 + 21,28 + 1,96 = 81; (7,6 - (-1.4))2 = (7,6 + 1,4)2 = 92 = 81;
в) (-10)2 - 2 • (-10) • (-2,6) = 100 - 52 + 6,76 = 54,76; (-10 - (2,6)) = (-10 + 2,6) = (-7,6)2 = 54,76;
г) (-1,5)2 - 2 • (-1,5) • 3 + 32 = 2,25 + 9 + 9 = 11,25 + 9 = 20,25; (-1,5 - 3)2 = (-4,5)2 = 20,25.

1.34. a) x — любое число; б) a — не равно нулю; в) у — любое число; г) b — не равно нулю.

1.35. а) х — не равно (-3); б) а — не равно (-2); в) d — не равно (-9); г) с — не равно (-13).

1.36. а) z — не равно 3; б) t — не равно 2; в) m — не равно 9; г) n — не равно 6.

1.45. а) 7 • 6 + 24 : 3 - 2 = 42 + 8 - 2 = 48; б) 7 • (6 + 24) : (3 - 2) = 210.

1.46. а) (1 + 23 - 4) • 5 = 100; б) 111 - 11 = 100; в) (5 + 5 + 5 + 5) • 5 = 100; г) (1 + 23 - 4) • 5 + 6 - 7 - 8 + 9 = 100.

1.47. 1)4 - 4 - 4 + 4 = 0 2) 4 - 4 + 4 : 4 = 13) 4 : 4 + 4 : 4 = 2 4) (4 + 4 + 4) : 4 = 3 5) 4 + 4 • (4 - 4) = 4 б) (4 + 4 • 4) : 4 = 5 7) 4 + (4 + 4) : 4 = 6 8) 44 : 4 - 4 = 7 9) 4 • 4 - 4 - 4 = 8 10) (44 - 4) : 4 = 10.

<<< К началу

 

 

???????@Mail.ru