Главная >> Алгебра 7 класс. Задачник с ГДЗ. Мордкович

Глава 3. Системы двух линейных уравнений с двумя переменными

§ 11. Основные понятия (окончание)

11.14. Составьте какую-либо систему двух линейных уравнений с двумя переменными, если известно, что решением этой системы является пара чисел:

    а) (0; 6); б) (-3; -4); в) (-1; 2); г) (5; -7).

11.15. Решите графически систему уравнений:

11.16. К каждому из следующих уравнений подберите второе уравнение так, чтобы полученная система имела единственное решение:

а) 3x - 2у = 8;

б) -5x + 4у = 1;

в) -3x - 7у = 2;

г) 5x + 6y = 9.

11.17. К каждому из следующих уравнений подберите второе уравнение так, чтобы полученная система имела бесконечно много решений:

а) 8x + у = 5;

б) 3x - 2у = 1;

в) 7x + 8у = 4;

г) x - у = 3.

11.18. К каждому из следующих уравнений подберите второе уравнение так, чтобы полученная система не имела решений:

а) 7x - 5у = 3;

б) 6x + 11у = 8;

в) 45x - 31у = 13;

г) 54x - 23у = 40.

11.19. Найдите значение коэффициента а в уравнении ах + 8у = 20, если известно, что решением этого уравнения является пара чисел:

    а) (2; 1); б) (-3; -2).

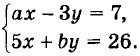
11.20. а) Дана система уравнений

Известно, что пара чисел (5; 6) является её решением. Найдите значения а и b.

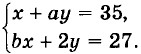
б) Дана система уравнений

Известно, что пара чисел (10; 5) является её решением. Найдите значения а и b.

11.21. Решите графически систему уравнений

если известно, что первое уравнение этой системы обращается в верное равенство при x = 5 и у = -3.

<<< К началу      Решенния >>>

 

 

???????@Mail.ru