Главная >> Алгебра 7 класс. Задачник с ГДЗ. Мордкович

Глава 3. Системы двух линейных уравнений с двумя переменными

§ 11. Основные понятия

11.1. Является ли пара чисел (1; 1) решением линейного уравнения с двумя переменными:

    а) 7х + 3у = 10;
    б) 6х - 2у — 4;
    в) 6х + 8у = 1;
    г) 15x - 12у = 3?

11.2. Подберите несколько решений линейного уравнения 3х - 2у = 5.

11.3. Составьте линейное уравнение с двумя переменными, решением которого служит пара чисел:

    а) (2; 5); б) (-3; 1); в) (-7; -2); г) (-4; 5).

11.4. Найдите все пары натуральных чисел, которые удовлетворяют уравнению х + у = 15.

11.5. Является ли пара чисел (60; 30) решением системы уравнений:

11.6. Какая из данных пар чисел является решением системы уравнений

    а) (3; -1); б) (-9; 3); в) (2; 1); г) (1; 2).

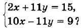
11.7. Является ли решением системы уравнений

пара чисел: а) (1; 2); б) (-2; -5); в) (4; 3); г) (0; 1)?

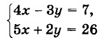
11.8. Убедитесь, что пара чисел (12; 15) является решением системы уравнений:

11.9. Даны два линейных уравнения с двумя переменными:

    х - у = 2 и х + у = 8.

Найдите пару чисел, которая:

    а) является решением первого уравнения, но не является решением второго;
    б) является решением второго уравнения, но не является решением первого;
    в) является решением и первого, и второго уравнений;
    г) не является решением ни первого, ни второго уравнения.

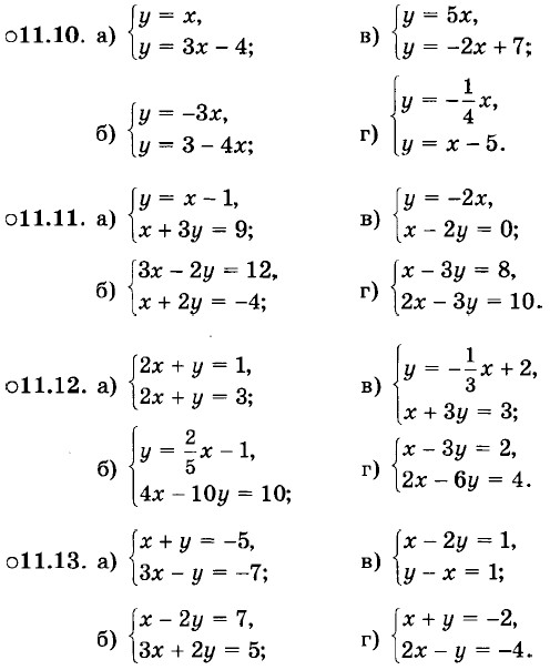
Решите графически систему уравнений:

Окончание >>>

 

 

???????@Mail.ru