Главная >> Алгебра 7 класс. Задачник с ГДЗ. Мордкович

Глава 3. Системы двух линейных уравнений с двумя переменными

§ 12. Метод подстановки (окончание)

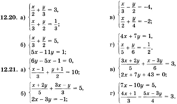
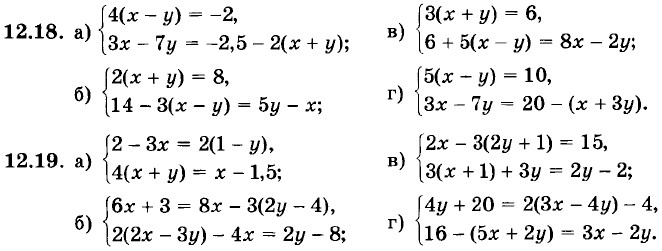
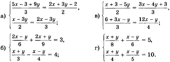
12.22. Решите систему уравнений:

Решите задачу, используя для составления математической модели две переменные:

12.23. Первое число составляет 25% от второго. Найдите эти числа, если их сумма равна 52,5.

12.24. Первое число составляет 87% от второго. Найдите эти числа, если второе число больше первого на 3,9.

12.25. Первое число составляет 124% от второго. Найдите эти числа, если их сумма равна 112.

12.26. Найдите абсциссу точки пересечения графиков двух линейных уравнений с двумя переменными:

    а) 4х - 3у = 12 и 3х + 4у = -24;
    б) 5х + 2у = 20 и 2х - 5у = 10;
    в) 2х - 3у = 12 и 3х + 2у = 6;
    г) 5х - 3у = 5 и 2х + 7у = 4.

12.27. Составьте уравнение прямой, проходящей через данные точки:

12.28. Составьте аналитическую модель линейной функции, график которой изображён:

    а) на рис. 25; в) на рис. 27;
    б) на рис. 26; г) на рис. 28.

12.29. Составьте уравнение прямой, проходящей через начало координат и точку пересечения прямых у = 9х - 28 и у = 13x + 12.

<<< К началу      Решенния >>>

 

 

???????@Mail.ru