Главная >> Алгебра 7 класс. Задачник с ГДЗ. Мордкович

Глава 3. Системы двух линейных уравнений с двумя переменными

§ 12. Метод подстановки

12.1. Решите систему уравнений:

Решите систему уравнений методом подстановки:

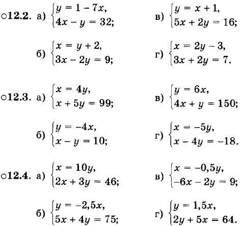
В заданном уравнении выразите одну переменную через другую:

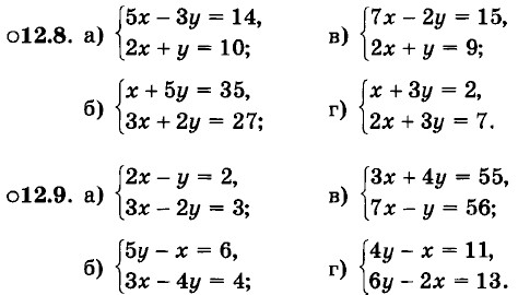
Решите систему уравнений методом подстановки:

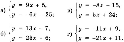
Найдите координаты точки пересечения прямых:

12.10. а) у = 10х + 30 и у = -12x + 272;
б) у = -18x + 25 и у = 15x + 14;
в) у = 15x - 21 и у = 7x - 77;
г) у = -1х - 19 и у = 14x - 1.

12.11. а) у = 5x и 4x + у = 180;
б) x - 2у = 5 и 2x + у = 9;
в) у = -1,4x и х - у = 18;
г) х - 10у = 1 и 2x + 3у = 48.

Решите задачу, используя для составления математической модели две переменные:

12.12. В седьмых классах девочек в 1,3 раза больше, чем мальчиков. Сколько всего учеников в седьмых классах, если девочек на 12 больше, чем мальчиков?

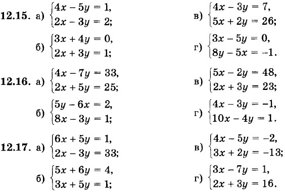
12.14. Решите систему уравнений:

Решите систему уравнений:

Окончание >>>

 

 

???????@Mail.ru