Главная >> Домашние работы к учебнику Мордкович. Алгебра 7 класс

Глава 4. Степень с натуральным показателем и её свойства

Что такое степень с натуральным показателем

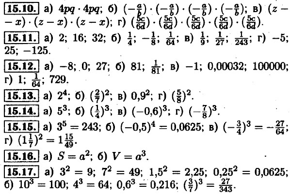
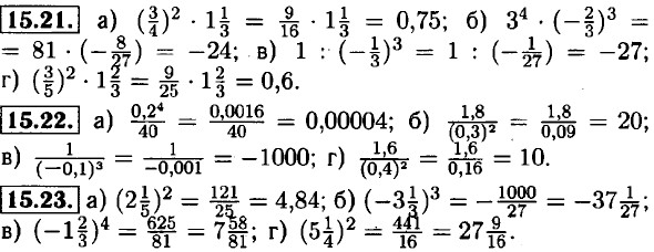
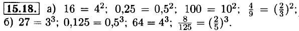
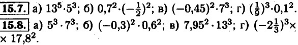
15.1 а) 34; б) 76; в) 0,52; г) 8,45.

15.2. а) х8; б) у5; в) z6; г) q3.

15.4. а) (-с)4; б) (—d)3; в) (-r)5; г) (-а)6.

15.5. а) (ab)4; б) (-рq)3; в) (mn)5; г) (ху)6.

16.6. a) (c - d)3; б) (z + t)2; в) (р - q)4; г) (х + у)6.

15.9. а) х • х • х • х • х • х • х • х; б) (-2a) • (-2а) • (-2а) • (-2а); в) (-y) • (-y) • (-y) • (-y) • (-y) • (-y) • (-y) • (-y) • (-y) • (-у) • (-у) • (-у); г) (3b) • (3b) • (3b) • (3b) • (3b) • (3b).

15.19. a) S = а2; 25 = 52; V = а3; 53 = 125; б) V = a3; 27 = 33; S = а2; 32 = 9.

15.20. а) 3 • (-4)2 = 3 • 16 = 48; б) (-2)5 • 3 = -32 • 3 = -96; в) 81 • 71 = 56; г) (-0,5)2 • (-2)2 = 0,25 • 4 = 1.

15.24. а) 6m; б) (-7)n; в) аk; г) bm.

15.25. а) (ху)n; б) (-cd)m; в) (m - n)k; г) (t + υ)n.

15.26. а) сk • dn; б) (-а)n • bk; в) (a - b)m • (х - z); г) (р - q)2 • (х - у)m.

15.27. a) S = а3; б) S = 6а2 = 6 • 49 = 294.

15.28. a) S = 6а2; 384 = 6а2; а2 = 64; а = 8; y = а3 = 83 = 512; б) V = а3; 125 = а3; а = 5; 5 = 6а2 = 6 • 25 = 150.

15.30. 42 • 0,2 = 3,2.
Ответ: 3,2.

15.31. V = 403 = 64000 см3 = 64 дм3.
Ответ: 64.

15.32. а) 3 • 16 + 2 • 81 = 48 + 162 = 210; б) 7 • 9 + 3 • 49 = 63 + 147 = 210; в) 5 • 27 + 3 • 25 = 135 + 75 = 210; г) 7 • 25 + 5 • 49 = 175 + 245 = 420.

15.33. а) 7 • 1000 - 8 • 100 = 7000 - 800 = 6200; б) 81 • 3 + 100 • 0,01 = 243 + 1 = 244.

15.37. а) 32 • 31 = 9 • 3 = 27; 32 + 1 = 33 = 27; б) 42 • 42 = = 16 • 16 = 256; 42 + 2 = 44 = 256; в) 24 • 25 = 16 • 32 = 512; 24 + 5 = 29 = 512; г) 52 • 53 = 25 • 125 = 3125; 52 + 3 = 55 = 3125.

<<< К началу

 

 

???????@Mail.ru