Главная >> Алгебра 7 класс. Задачник с ГДЗ. Мордкович

Глава 4. Степень с натуральным показателем и её свойства

§ 15. Что такое степень с натуральным показателем (окончание)

15.19. а) Площадь грани куба равна 25 см2. Найдите объём куба,
б) Объём куба равен 27 м3. Найдите площадь его грани.

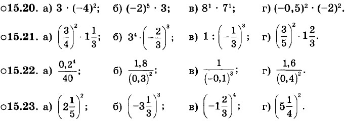
Вычислите:

Запишите произведение в виде степени, назовите основа ние и показатель каждой степени:

15.27. а) Запишите на математическом языке, чему равна площадь S полной поверхности куба, если его ребро равно а.
б) Вычислите площадь полной поверхности куба, ребро которого равно 7 см.

15.28. а) Площадь поверхности куба равна 384 дм2. Вычислите ребро и объём куба.
б) Объём куба равен 125 см3. Вычислите ребро и площадь поверхности куба.

15.29. Сколько рулонов обоев необходимо приобрести для того, чтобы оклеить стены квадратной комнаты, высота которой равна 3 м, площадь пола — 9 м2, окна — 1,5 м2, двери — 1,8 м2, если одним рулоном можно оклеить 7,2 м2?

15.30. Сколько нужно килограммов краски, чтобы покрасить пол в квадратной комнате, длина каждой стены которой 4 м, если на покраску 1 м2 нужно 200 г краски?

15.31. Сколько литров воды потребуется, чтобы наполнить аквариум, имеющий форму куба, ребро которого равно 40 см?

Вычислите:

15.32.

а) 3 • 24 + 2 • 34;

б) 7 • 32 + 3 • 72;

в) 5 • 33 + 3 • 52;

г) 7 • 52 + 5 • 72.

15.33. а) 7 • 103 - 8 • 102; б) 92 • 3 + 100 • (0,1)2.

15.37. Сравните значения выражений:

а) 32 • 31 и 32 + 1;

б) 42 • 42 и 42 + 2;

в) 24 • 25 и 24 + 5;

г) 52 • 53 и 52 + 3.

<<< К началу      Решенния >>>

 

 

???????@Mail.ru