Ãëàâíàÿ >> Àëãåáðà 7 êëàññ. Çàäà÷íèê ñ ÃÄÇ. Ìîðäêîâè÷

Ãëàâà 4. Ñòåïåíü ñ íàòóðàëüíûì ïîêàçàòåëåì è å¸ ñâîéñòâà

§ 15. ×òî òàêîå ñòåïåíü ñ íàòóðàëüíûì ïîêàçàòåëåì

Çàïèøèòå ïðîèçâåäåíèå â âèäå ñòåïåíè, íàçîâèòå îñíîâàíèå è ïîêàçàòåëü ñòåïåíè:

15.1. à) 3 • 3 • 3 • 3;
á) 7 • 7 • 7 • 7 • 7 • 7;
â) 0,5 • 0,5;
ã) 8,4 • 8,4 • 8,4 • 8,4 • 8,4.

15.2. à) õ • õ • õ • õ • õ • õ • õ • õ;
á) ó • ó • ó • ó • ó;
â) z • z • z • z • z • z;
ã )q • q • q.

15.3. à) (-4) • (-4) • (-4) • (-4) • (-4);

â) (-2,5) • (-2,5) • (-2,5);

15.4. à) (-ñ) • (-ñ) • (-ñ) • (-ñ);
á) (-d) • (-d) • (-d);
â) (-r) • (-r) • (-r) • (-r) • (-r);
ã) (-s) • (-s) • (-S) • (-s) • (-s) • (-s).

15.5. à) (ab) • (ab) • (ab) • (ab);
á) (-pq) • (-pq) • (-pq);
â) (mn) • (mn) • (mn) • (mn) • (mn);
ã) (-õó) • (-õó) • (-õó) • (-õó) • (-õó) • (-õó).

15.6. à) (ñ - d) • (ñ - d) • (ñ - d);
á) (z + t) • (z + t);
â) (ð - q) • (ð - q) • (ð - q) • (ð - q);
ã) (õ + ó) • (õ + ó) • (õ + ó) • (õ + ó) • (õ + ó) • (õ + ó).

Çàïèøèòå âûðàæåíèå â âèäå ïðîèçâåäåíèÿ ñòåïåíåé, íàçîâèòå îñíîâàíèå è ïîêàçàòåëü êàæäîé ñòåïåíè:

15.7. à) 13 • 13 • 13 • 13 • 13 • 5 • 5 • 5;

â) (-0,45) • (-0,45) • 7 • 7 • 7;

15.8. à) 5 • 7 • 5 • 7 • 5 • 7;
â) 7,95 • 13 • 13 • 7,95 • 13;

Ïðåäñòàâüòå â âèäå ïðîèçâåäåíèÿ îäèíàêîâûõ ìíîæèòåëåé:

15.9. à) õ8; á) (-2à)4; â) (-ó)12; ã) (3b)6.

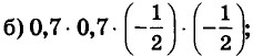
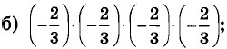
Âû÷èñëèòå:

15.16. Çàïèøèòå íà ìàòåìàòè÷åñêîì ÿçûêå:

    à) ÷åìó ðàâíà ïëîùàäü êâàäðàòà s ñî ñòîðîíîé, ðàâíîé à;
    á) ÷åìó ðàâåí îáú¸ì êóáà υ, åñëè ðåáðî ðàâíî à.

Îêîí÷àíèå >>>

 

 

???????@Mail.ru