Главная >> Алгебра 7 класс. Задачник с ГДЗ. Мордкович

Глава 4. Степень с натуральным показателем и её свойства

§ 16. Таблица основных степеней (окончание)

16.15. а) х2 + у2 ... 0;

б) (а + 51)2 + (b2 - 13)2 ... 0;

в) 5(а2 + b2) ... 0;

г) -94(х + у)2 ... 0.

16.16. Используя таблицу степеней однозначных чисел, найдите b, если:

    а) b3 = 216; б) b5 = -32; в) b7 = 128; г) b3 = -343.

16.17. Используя таблицу степеней простых однозначных чисел, найдите m, если:

    а) 2m = 512; б) 5m = 625; в) 7m = 343; г) 3m = 729.

16.18. Найдите х, если:

    а) х4 = 16; б) х2 = 25; в) х4 = 81; г) х6 = 64.

16.19. Найдите х, если:

    а) 2х3 = -250; б) 2х4 = 162; в) 5х5 = 160; г) 3х6 = 192.

16.20. Запишите число, представленное суммой разрядных слагаемых:

    а) 3 • 105 + 4 • 104 + 7 • 103 + 2 • 102 + 8 • 10 + 4;

    б) 8 • 106 + 9 • 103 + 5;

    в) 1 • 104 + 1 • 102 + 1;

    г) 3 • 105 + 5 • 103 + 4 • 102 + 8.

16.21. Запишите число в виде суммы разрядных слагаемых:

    а) 17285; б) 213149; в) 1495643; г) 75003400.

16.22. Найдите значения выражений:

    а) а2, (-а)2, -а2 при а = 1, а = -1, а = 0, а = 10;

    б) с2 + (-с)3 + с4 при с = 1, с = 0, с = 10, с = -1;

    в) b4, (-b)5, -b5 при ft = 1, b = 0, b = -1, b = 10;

    г) d4 - d2 + d + 1 при d = -1, d = 0, d = 1, d = 10.

16.23. Укажите, какое из чисел больше:

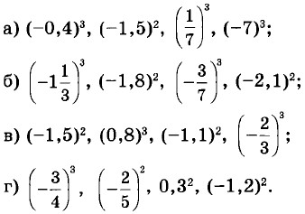
16.24. Не производя вычислений, расположите в порядке возрастания следующие числа:

16.25. Вычислите n + k, если:

    а) 2n = 1024; 3k = 81; б) 7n = 49; 5k = 625.

16.26. Найдите х, если:

    а) 2 = 128; б) 3x - 3 = 243; г) 22 - 3x = 256.

<<< К началу      Решенния >>>

 

 

???????@Mail.ru