Главная >> Домашние работы к учебнику Мордкович. Алгебра 7 класс

Глава 4. Степень с натуральным показателем и её свойства

Таблица основных степеней

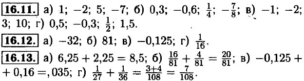
16.2. а) 1; 6)1; в) -1; г) 1.

16.3. а) 0; б) 0; в) -1; г) 0.

16.4. а) 1 + 0 + 1 = 2; б) 1 - 1 - 0 = 0; в) 0 + 1 - 1 = 0; г) 0 - 1 + 1 +1 = 1.

16.5 а) 1 - 1 + 1 - 1 = 0; б) -1 + 1 + 0 + 1 + 1 = 2; в) 1 + 1 - 1 + 1 = 2; г) 1 + 0 - 1 + 0 + 1 = 1.

16.6. а) 1000; б) 10000; в) 100000; г) 10000000.

16.7 а) 109; б) 101; в) 106; г) 10n.

16.8. а) 25 • 32; б) 24 • 33; в) 23 • 3 • 52; г) 24 • 72.

16.9. а) 72 • 34; б) 25 • 34 • 52; в) 25 • 33 • 52; г) 24 • 5 • 112.

16.14. а) a2 ≥ 0; б) -а2 ≤ 0; в) (x + 5)2 ≥ 0; г) -3 • (x - 7)2 ≤ 0.

16.15. а) x2 + у2 ≥ 0; б) (а + 51)2 + (b2 - 13) ≥ 0; в) 5 • (а2 + b2) ≥ 0; г) -94 • (х + у)2 ≤ 0.

16.16. а) b = 6; б) b = -2; в) b = 2; г) b = -7.

16.17. а) m = 9; б) m = 4; в) m = 3; г) m = 6.

16.18. а) х = 2; б) х = 5; в) х = 3; г) х = 2.

16.19. а) х3 = -125; х = -5; б) х4 =81; х = ±3; в) х5 = 32; х = 2; г) x6 = 64; а; = ±2.

16.20. а) 300 000 + 40000 + 7000 + 200 + 80 + 4 = 347 284; б) 8000000 + 9000 + 5 = 8009005; в) 10000 + 100 + 1 = = 10101; г) 300 000 + 5000 + 400 + 8 = 305408.

16.21. а) 1 • 104 + 7 • 103 + 2 • 102 + 8 • 10 + 5; б) 2 • 105 + 1 • 104 + 3 • 103 + 1 • 102 + 4 • 10 + 9; в) 1 • 106 + 4 • 105 + 9 • 104 + 5 • 103 + 6 • 102 + 4 • 10 + 3; г) 7 • 107 + 5 • 106 + 3 • 103 + 4 • 102.

16.22. а) a2 : 1; 1; 0; 100; (-a2) : 1; 1; 0; 100; -а2 : -1; -1; 0; -100; б) 1; 0; 9100; 3; в) b4 : 1; 0; 1; 10000; (-b5) : -1; 0; 1; -100000; -b5 : -1; 0; 1; -100000; г) 0; 1; 2; 9911.

16.23. а) (-17,2)2 > (-17,2)3; б) (-0,6)4 = 0,64; в) (-0,3)3 ≤ (-0,3)6; г) (-0,2)2 > (-0,2)4.

16.25. а) n = 10; k = 4; n + k = 14; б) n = 2; k = 4; n + k = 6.

16.26. а) 2х = 7; x = 3,5; б) x - 3 = 5; x = 8; в) x = 4; г) 2 - 3x = 8; 3x = -6; x = -2.

<<< К началу

 

 

???????@Mail.ru