Главная >> Алгебра 7 класс. Задачник с ГДЗ. Мордкович

Глава 4. Степень с натуральным показателем и её свойства

§ 17. Свойства степени с натуральными показателями

Представьте произведение в виде степени:

17.1. а) х2 • x3; б) у6 • у4; в) z5 • z12; г) t10 • t24.

17.2. а) а5 • а; б) b • b8; в) c7 • с; г) dn • d.

17.3.

а) s2 • s5 • s8.
б) m13 • m8 • m;

в) r4 • r12 • r51;
г) n4 • n • n10.

17.4.

а) u15 • u23 • u • u7;
б) r4 • r12 • r51;

в) υ3 • υ9 • υ4 • υ;
г) q13 • q8 • q7 • q21.

17.5.

а) (а - b)3 • (а - b)2;
б) (с + d)7 • (с + d)8;

в) (q + r)15 • (q + r)8;
г) (m - n)5 • (m - n)4.

17.6.

а) (аx)5 • (ах)7 • (ах);
б) (-by)2 • (-by)3 • (-by)7;

в) (сd)8 • (cd)8 • (cd);
г) (-pq)13 • (-pq) • (pq)8.

17.7. Представьте выражение х25 в виде произведения двух степеней с одинаковыми основаниями так, чтобы одна из степеней была равна:

    а) х7; б) х9; в) х; г) х24.

Замените символ * степенью с основанием r так, чтобы выполнялось равенство:

17.8.

а) r3 • * = r11;
б) * • r14 = r15;

в) r13 • * • r18 = r43;
г) * • r21 • r1 = r40.

17.9.

а) r12 • * • r3 • * = r26;
б) r44 • * • r • * = r51;

в) * • r7 • * • r9 • r13 = r48;
г) r • r14 • * • r20 • * = r72.

17.10. Вычислите:

    а) 25 • 24; б) 33 • 32; в) 72 • 7; г) 9 • 92.

17.11. Запишите в виде степени с основанием 2:

    а) 4 • 2; б) 32 • 8; в) 64 • 512; г) 16 • 32.

17.12. Запишите в виде степени с основанием 5:

    а) 5 • 25; б) 53 • 625; в) 54 • 125; г) 59 • 3125.

17.13. Определите знак числа а:

а) а = (-13)9 • (-13)8;
б) а = (-17)17 • (-17)71;

в) а = (-28)2 • (-28)6;
г) а = (-43)41 • (-43)14.

17.14. Решите уравнение:

а) х • 73 = 75;
б) 122 • х = 123;

в) 46 • х = 48;
г) x • 56 = 59.

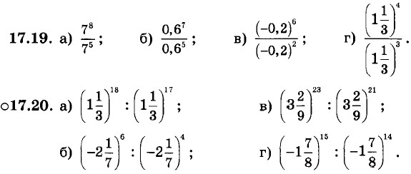
Представьте частное в виде степени:

17.15. а) х7 : х4; б) у16 : у12; в) z13 : z; г) m28 : m27.

17.16.

а) а12 : а10 : а;
б) b45 : b15 : b29;

в) с3 : с : с;
г) d43 : d14 : d5.

17.17. а) (а - b)3 : (а - b)2;
б) (z + r)13 : (z + r)8 : (z + r)3;
в) (с + d)8 : (с + d)5;
г) (m - n)42 : (m - n)12 : (m - n)29.

Вычислите:

17.18.

а) 1013 : 108;
б) 1217 : 1216;

в) (-324)3 : (-324)2;
г) (0,751)27 : (0,751)26.

Окончание >>>

 

 

???????@Mail.ru