Главная >> Алгебра 7 класс. Задачник с ГДЗ. Мордкович

Глава 4. Степень с натуральным показателем и её свойства

§ 17. Свойства степени с натуральными показателями (окончание)

Замените символ * степенью с основанием х так, чтобы выполнялось равенство:

17.21.

а) х5 : * = x3;
б) x18 : * = х11;

в) x49 : * = x13;
г) * : x5 = x99.

17.22.

а) * : x10 : * = x40;
б) x44 • * • х : * = x51;

в) x45 : * : x15 • * = х;
г) * : * : х = x73.

17.23. Каким должно быть натуральное число n, чтобы выпол нялось равенство:

а) 128n : 12856 = 12842;
б) 2163 : 216n = 216;

в) 395n : 395 = 3959;
г) 5484 : 548n = 5483.

17.24. Решите уравнение:

    а) х : 25 = 23; б) 3б : х = 34; в) х : 52 = 5; г) 77 : х = 74.

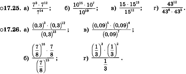
Вычислите:

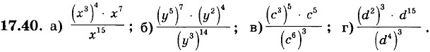
17.27. Используя правила умножения и деления степеней, упростите выражение:

17.28. Запишите в виде степени с основанием х:

    а) (х3)2; б) (x5)6; в) (х7)12; г) (x10)13.

17.29. Представьте 240 в виде степени с основанием:

    а) 28; б) 210; в) 220; г) 24.

17.30. Запишите в виде степени с показателем 3:

    а) m18; б) n48; в) а84; г) b21.

Вычислите:

17.31. а) (73)2; б) (33)2; в) (42)3; г) (22)5.

17.34. Замените символ * таким выражением, чтобы выполнялось равенство:

    а) (*)5 = а30; б) (2*)3 = z12; в) (*)7 = b14; г) (р12)* = р24.

17.35. Упростите выражение:

    а) (а3)6 • а4; б) b5 • (b3)4; в) с6 • (с2)3; г) (d8)4 • d23.

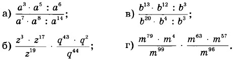
17.36. Используя правила умножения и деления степеней, упростите выражение:

17.37. Известно, что х2 = у. Чему равно:

    а) x6; б) х12; в) x20; г) x40?

Упростите выражение:

17.38.

а) (x5)4 • (x6)7;
б) (у8)2 • (у12)3.

в) (z13)3 • (z5)9;
г) (t25)2 • (t10)4.

17.39. а) (z5)6 : z7; б) (р3)4 : р10; в) (u14)3 : u20; г) (q8)9 : q70.

17.41. Возведите в степень:

    а) (x3)n; б) (-а4)2n; в) (уn)5; г) (-b3)6n.

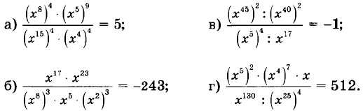
17.42. Решите уравнение:

<<< К началу      Решенния >>>

 

 

???????@Mail.ru