Главная >> Домашние работы к учебнику Мордкович. Алгебра 7 класс

Глава 4. Степень с натуральным показателем и её свойства

Свойства степени с натуральными показателями

17.1. а) х5; б) у10; в) z17; г) t34.

17.2. а) а6; б) b7; в) с8; г) dn + 1.

17.3. a) s16; б) m22; в) r67; г) n15.

17.4. а) u46; б) r67; в) υ17; г) q49.

17.5. а) (а - b)5; б) (c + d)15; в) (q + r)23; г) (m - n)9.

17.6. а) (ах)13; б) (-by)12; в) (cd)17; г) (-pq)20.

17.7. а) х7 • х18; б) х9 • х16; в) х • х24; г) х24 • х.

17.8. а) r8; б) г; в) r12; г) r8.

17.9. а) r6; r5; б) r2; r4; в) r9; r10; г) r; r36.

17.10. а) 512; б) 243; в) 343; г) 729.

17.11. а) 23; б) 28; в) 215; г) 29.

17.12. а) 53; б) 57; в) 57; г) 514.

17.13. а) а = (-13)17; -; б) а = (-17)88; +; в) а = (-8)8; +; г) а = (-43)55; -.

17.14. а) х = 75 : 73 = 72 = 49; б) х = 123 : 122 = 12; в) х = 48 : 46 = 42 = 16; г) x = 59 : 56 = 53 = 125.

17.15. а) х3; б) у4; в) z12; г) m.

17.16. а) а; б) b; в) с; г) d24.

17.17. а) (а - b); б) (z + r)2; в) (c + d)3; г) (m - n).

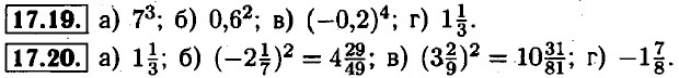
17.18. а) 105; б) 12; в) -324; г) 0,751.

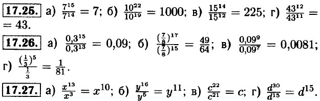
17.21. а) х2; б) х7; в) х36; г) х104.

17.22. а) х51; х; б) х10; х4; в) х70; х41; г) х90; х16.

17.23. а) n - 56 = 42; n = 56 + 42 = 98; б) 3 - n = 1; n = 3 - 1 = 2; в) n - 1 = 9; n = 9 + 1 = 10; г) 4 - n = 3; n = 4 - 3 = 1.

17.24. а) х = 25 • 23 = 28 = 256; б) х = 36 : 33 = 33 = 27; в) х = 52 • 5 = 53 = 125; г) х = 77 : 73 = 74 = 343.

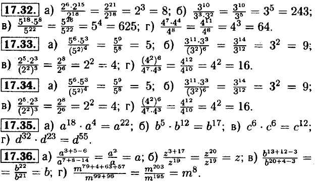
17.28. а) x3 • 2 = x6; б) x5 • 6 = x30; в) x7 • 12 = x84; г) x10 • 13 = x130.

17.29. а) (28)5 = 240; б) (210)4 = 240; в) (220)2 = 240; г) (24)10 = 240.

17.30. a) (m6)3 = m18; б) (n16)3 = n48; в) (а18)3 = а54; (b7)3 = b21.

17.31. а) 76 = 117649; б) 36 = 729; в) 46 = 4096; г) 210 = 1024.

17.37. а) у3; б) у6; в) у10; г) у20.

17.38. а) x20 • x42 = x62; б) у16 • у36 = у52; в) z39 • z45 = z84; г) t50 • t40 = t90.

17.39. a) z30 : z7 = z23; б) p12 : p10 = p2; в) u42 : u20 = u22; г) q72 : q70 = q2.

17.41. а) x3n; б) а8n; в) у5n; г) b18n.

<<< К началу

 

 

???????@Mail.ru