Главная >> Алгебра 7 класс. Задачник с ГДЗ. Мордкович

Глава 4. Степень с натуральным показателем и её свойства

§ 18. Умножение и деление степеней с одинаковыми показателями

Представьте выражение в виде произведения степеней:

18.1. а) (2а)4; б) (3b)5; в) (6n)3; г) (8n)2.

18.2. а) (-2р)3; б) (-5q)4; в) (-7с)2; г) (-3d)5.

18.3. а) (mn)6; б) (ab)4; в) (рq)3; г) (cd)10.

18.4. а) (-ас)17; 6) (-am)8; в) (-rs)3; г) (-ху)12.

18.5. а) (ху3)2; б) (a2bc3)4; в) (p3cd6)18; г) (u5υ4t7)9.

18.6. а) (3р2r8)5; б) (6a5bx3)3; в) (10a2b5)4; г) (4r5q8р9)2.

Представьте выражение в виде степени произведения:

18.7. а) 36а2; б) 49b2; в) 81с2; г) 64d2.

18.8. а) а2b2с2; б) х3у3z3; в) m5n5s5; г) p12q12r12.

18.9. а) 16x4y4z4; б) 125c3d3z3; в) 81 m2p2q2; г) 32r5s5q5.

Запишите выражение в виде степени с показателем 2:

18.10. а) a2b10; б) х8у12; в) х2у4z24; г) p8q10z30.

18.11. а) x4y6; б) 16q18r34; в) 81c8d16ƒ28; г) 121m12n16r54.

18.12. Найдите наиболее рациональным способом значение выражения:

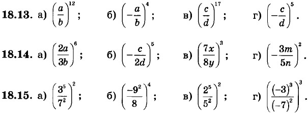
Возведите дробь в степень:

18.16. Представьте в виде степени дробь:

18.17. Представьте в виде степени с показателем, отличным от единицы:

    а) b3х3; б) 25а4; в) 32х10у5; г) 16а8b12.

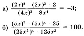
Найдите наиболее рациональным способом значение выражения:

18.18.

а) 85 • 0,1255;
б) 46 • 0,256;

в) 54 • 0,44;
г) (1,25)7 • 87.

Найдите наиболее рациональным способом значение выражения:

18.22. Сравните:

18.23. Решите уравнение:

а) 3x3 = 24;
б) (3x)3 = -27;

в) 5x5 = -1215;
г) (5x)5 = 100000.

18.24. Решите уравнение:

Решенния >>>

 

 

???????@Mail.ru