Главная >> Алгебра 7 класс. Задачник с ГДЗ. Мордкович

Глава 4. Степень с натуральным показателем и её свойства

Домашняя контрольная работа № 4

Вариант 1

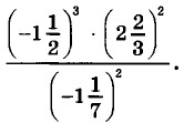
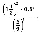
1. Найдите значение выражения и запишите ответ в виде десятичной дроби:

2. Вычислите:

3. Представьте число 8000 в виде произведения степеней простых чисел.

4. Расположите числа в порядке возрастания: (-1,5)3; (-0,5)2; 1,23.

5. Представьте 36а6b12 в виде степени произведения.

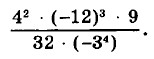
6. Вычислите наиболее рациональным способом:

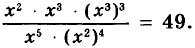
7. Решите уравнение

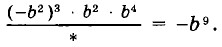
8. Вместо символа * поставьте степень с основанием а так, чтобы выполнялось равенство

9. При каком значении х верно равенство 33x - 4 = 243?

Вариант 2

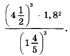
1. Найдите значение выражения и запишите ответ в виде десятичной дроби:

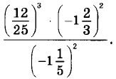
2. Вычислите:

3. Представьте число 50625 в виде произведения степеней простых чисел.

4. Расположите числа в порядке возрастания: (-2,4)3; 2,33.

5. Представьте 27m9n6 в виде степени произведения.

6. Вычислите наиболее рациональным способом:

7. Решите уравнение

8. Вместо символа * поставьте степень с основанием b так, чтобы выполнялось верное равенство

9. При каком значении х верно равенство 24 - 5x = 512?

Решенния >>>

 

 

???????@Mail.ru