Главная >> Домашние работы к учебнику Мордкович. Алгебра 7 класс

Глава 4. Степень с натуральным показателем и её свойства

Домашняя контрольная работа № 4 (окончание)

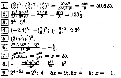
Вариант 1

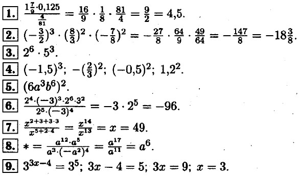
Вариант 2

<<< К началу

 

 

???????@Mail.ru