Главная >> Алгебра 7 класс. Задачник с ГДЗ. Мордкович

Глава 5. Одночлены. Арифметические операции над одночленами

§ 20. Понятие одночлена. Стандартный вид одночлена

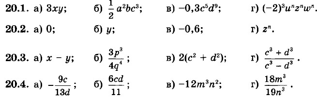
Выясните, является ли данное выражение одночленом; если да, то укажите коэффициент и буквенную часть:

20.5. Используя переменные а, b, с, запишите:

    а) два любых одночлена с коэффициентами, отличными от нуля;
    б) два разных одночлена с коэффициентами, равными 1;
    в) два одночлена с одинаковыми коэффициентами и разными буквенными частями;
    г) два разных одночлена с одинаковыми буквенными частями.

20.6. Используя переменные р и q, запишите:

    а) три разных одночлена с одинаковой буквенной частью;
    б) три разных одночлена с одинаковыми коэффициентами.

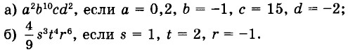
20.7. Найдите значение одночлена:

    а) 7x3, если х = 0, х = 1, х = -1;
    б) 0,04cd2, если с = 15, d = -2;
    в) 9у2, если у = 2, у = -2, у = 10;
    если р = 1, q = 2.

Приведите выражение к одночлену стандартного вида и укажите коэффициент и буквенную часть:

20.8.

а) 3m4 • m;
б) 5х • 10y2;

в) 42у5 • у8 • у12;
г) -7z3 • 4t8.

20.10. Приведите левую часть равенства к одночлену стандартного вида и решите полученное уравнение:

20.11. а) Стороны прямоугольника относятся как 3 : 4. Найдите стороны прямоугольника, если его площадь равна 48 см2.
б) Ширина прямоугольника составляет от его длины.

Найдите стороны прямоугольника, если его площадь равна 35 дм2.

20.12. Найдите значение одночлена:

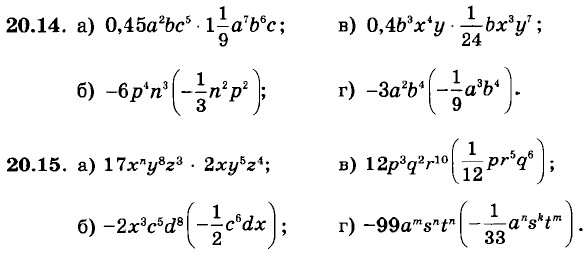
Приведите выражение к одночлену стандартного вида и укажите коэффициент и буквенную часть:

20.13.

а) 13а • 2b • 4b • 8а;
б) 52pq2 • (-4)2qpq;

в) 14с3 • (-5)cd2 • 3d;
г) 24х9у8(-2)2(-х)4(-у)3.

20.16. Приведите выражения к одночлену стандартного вида и укажите те из них, у которых одинаковая буквенная часть:

    а) 3аb • 4а2; 2,5b2 • 5а3; 1,2а2 • 5b; 7а2b • 12аb;
    б) 8pq • 3р2; 1,4р2 • 15pq; 0,7 • 12р3; 4,3р2 • 3q;
    в) 0,125st2 • 8t2; 0,25t4 • 4s; 2,5t • 8st5; 0,2st • 14t3;
    r) 15mn3 • 2m2; 4m3 • 3n2; 7,8n3 • 5m2; 2m2n • 6,4n2.

20.17. В прямоугольном параллелепипеде длина в 2 раза больше ширины, а высота в 4 раза больше ширины. Найдите измерения прямоугольного параллелепипеда, если его объём равен 1000 см3.

20.18. В прямоугольном параллелепипеде длина в 2 раза больше ширины, а высота составляет длины. Найдите измерения прямоугольного параллелепипеда, если его объём равен 640 м3.

20.19. Измерения прямоугольного параллелепипеда относятся как 2 : 3 : 4, а его объём равен 648 дм3. Найдите измерения прямоугольного параллелепипеда.

Решенния >>>

 

 

???????@Mail.ru