Главная >> Домашние работы к учебнику Мордкович. Алгебра 7 класс

Глава 5. Одночлены. Арифметические операции над одночленами

Понятие одночлена. Стандартный вид одночлена

20.1. а) да; 3; ху; б) да; 0,5; а23; в) да; -0,3; с5d9; г) да; unznωn.

20.2. а) да; 0; нет; б) да; 1; у; в) да; -0,6; нет; г) да; 1; zn.

20.3. а) нет; б) нет; в) нет; г) нет.

20.4. а) нет; б) да; cd; в) да; -12; m3n2; г) нет.

20.5. a) 5abc, 3a3b2c; б) a2b2c; abc, в) 5abc, 5а22; г) 7abc; 3abc.

20.6. а) 3pq; 5pq; 6pq; 6) 7pq; 7p2q2; 7p3q3.

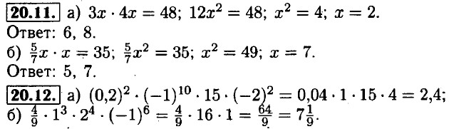
20.7. a) 0; 7; -7; 6) 0,04 • 15 • (-2)2 = 0,04 • 60 = 2,4; в) 36; 36; 900;

20.8. a) 3m5; 3; m5; 6) 50xy2; 50; xy2; в) 42y25; 42; y25; г) -28z3t8; -28; z3t8.

20.9. a) 84abc; 84; abc, 6) 120gp2r5; 120; qp2r5; в) -64u4υ3ω5; -64; u4υ3ω5; г) - c12d18s10; -1; c12d18s10.

20.10. a) 6x3 = 6; x3 = 1; x = 1; 6) 10x2 = 10; x2 = 1; x = ±1; в) x3 = -1; x = -1; г) -x4 = -1; x4 = 1; x = ±1.

20.13. a) 832a2b2; 832; a2b2; 6) 100p2q4; 100; p2q4; в) -210c4d3; -210; c4d3; г) -64x12y11; -64; x12y11.

20.15. а) 34xn + 1y13z7; 34; хn + 1у13z7; б) x4c11d11; 1; x4c11d11; в) р4q8r15; 1; p4q8r15; г) 3am + nsn + ktn + m; 3; am + nsn + ktn + m.

20.16. а) 12a3b; 12,5a3b2; 6a2b; 84a3b2; 6) 24p3q; 21p3q; 8,4p3; 12,9p2q; в) st4; s4t; 20st6; 2,8st4; г) 30m3n3; 12m3n2; 39n3m2; 12,8m2n3.

20.17. x см — ширина; 2x см — длина; 4x см — высота.
x • 2x • 4x = 8x3 = 1000; x3 = 125; x = 5.
Ответ: 5, 10, 20.

20.18. x см — ширина; 2x см — длина; 5x см — высота.
x • 2x • 5x = 10x3 = 640; x3 = 64; x = 4.
Ответ: 4, 8, 20.

20.19. 2x дм — ширина; Зх дм — длина; 4x дм — высота.
2x • 3х • 4x = 24x3 = 648; x3 = 27; x = 3.
Ответ: 6, 9, 12.

<<< К началу

 

 

???????@Mail.ru