Главная >> Алгебра 7 класс. Задачник с ГДЗ. Мордкович

Глава 5. Одночлены. Арифметические операции над одночленами

§ 21. Сложение и вычитание одночленов

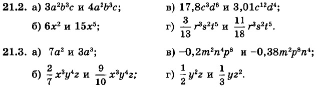
Выясните, являются ли данные одночлены подобными:

21.1.

а) 3а и 4а;
б) 19х2 и 35x2;

в) 3у3 и 3у3;
г) mn и 5mn.

21.4. Вместо символа * поставьте одночлен, подобный данному и такой, коэффициент которого в 3 раза больше, чем у данного одночлена:

21.5. Среди данных одночленов найдите подобные:

21.6. Приведите одночлены к стандартному виду и укажите те из них, которые подобны одночлену 7m9:

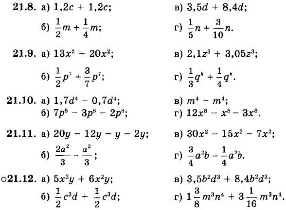
Выполните действия:

21.7.

а) 3x + 5x;
б) 3р + 5р + р;

в) 6у + 7у;
г) 7q + 9q + 4q.

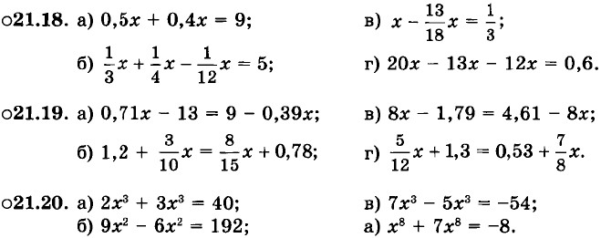
Вместо символа * поставьте такой одночлен, чтобы получилось верное равенство:

21.13.

а) 5а2b3 + * = 13а2b3;
б) -12x3 - * = -24x3;

в) 7,4pq - * = 4pq;
г) * + 0,5m2n = 1,7m2n.

21.14.

а) -18а5b7 - * = 0;
б) * + 6st4 = -1,2st4;

в) 0 - * = 2,4х3уz;
г) 13xyz - * = 18,3xyz.

21.15. а) Представьте одночлен 6cd2 в виде суммы одночленов несколькими способами.
б) Представьте одночлен 49x3y2 в виде суммы одночленов несколькими способами.

Упростите выражение:

21.16. а) 5x • 2у + 3x • 6у + 2x • 7у;
б) 3у2х + 6х • 3у • 2у + 2уху;
в) -11ab + а • 8 • b + 5аb;
г) аb2 + 9abb + 3bаb + abb.

21.17. а) 3a2b + 7a • 9ba + 10b • 3a2(-1);
б) x2y2 • 7 + 19x • 2xyy - 9x • 3yxy;
в) az3 + 7az3 - 6z • 2az2 - 5az3;
г) m8n4 + 2m3 • 3m5n4 - 7m8n4.

Решите уравнение:

21.21. Сумма двух третей неизвестного числа и его половины на 7 больше самого неизвестного числа. Найдите это число.

21.22. Сумма одной четвёртой и одной шестой части неизвестного числа на 5 меньше его половины. Найдите это число.

Окончание >>>

 

 

???????@Mail.ru