Главная >> Алгебра 7 класс. Задачник с ГДЗ. Мордкович

Глава 5. Одночлены. Арифметические операции над одночленами

§ 21. Сложение и вычитание одночленов (окончание)

21.23. Первое число в 1,5 раза больше второго. Известно, что удвоенное первое число на 24 больше, чем третья часть второго. Найдите эти числа.

21.24. Вкладчик положил в банк некоторую сумму денег из расчёта 10 % годовых. Через год он снял со своего вклада 600 р., в результате чего на его счёте осталась сумма, равная половине первоначального вклада. Сколько денег будет на счёте у вкладчика в конце второго года хранения?

21.25. Для выполнения практической работы ученик получил три квадрата. Сторона первого квадрата в 2 раза меньше стороны третьего, а сторона второго составляет стороны третьего квадрата. Найдите сторону каждого квадрата, если сумма их площадей равна 61 см2.

21.26. Ученик изготовил три куба. Ребро первого куба в 3 раза больше, чем ребро второго, а ребро третьего составляет от ребра первого. Найдите ребро каждого куба, если объём первого куба на 296 см3 меньше объёма третьего куба.

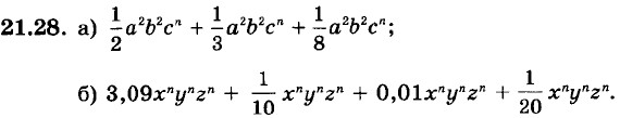
Выполните действия:

21.27. a) 42b2c3d2 + 54b2c3d4 + 48b2c3d2 + 12b2c3d2;
б) 1,8m3n4z8 + 3,2m3n4z8 + 1,05m3n4z8.

21.29. a) -1,4a3 - (-0,09a3) + (-1,5a3) + 2a3;
б) 3,9x4 + (-2,7x4) - (-0,8x4) + (-2x4).

21.32. a) 21xyx2y3x - 8x2y2xyxy - 2xy3x3y - 3x4y3y;
6) 5znqn - 3zn - 1qnz - qn - 1zqzn - 1.

21.34. а) К разности одночленов 16х3у4 и 13х2у4 прибавьте сумму одночленов 23х2у4 и 10х2у4.
б) К сумме одночленов 43а3b2 и -27а3b2 прибавьте разность одночленов 34а3b2 и 20а3b2.

21.35. а) Из суммы одночленов 2,38n4р и -1,48n4р вычтите разность одночленов 4,72n4р и -1,28n4р.
б) Из разности одночленов 2,57k3n4 и -1,43k3n4 вычтите сумму одночленов -8,39k3n4 и 5,39k3n4.

21.36. В данном выражении вместо многоточия расставьте знаки «+» и «-» так, чтобы получилось верное равенство:

    а) 25а2b4 = 3а2b4 ... 5а2b4 ... 7а2b4 ... 10а2b4; б) 43x3у9 = 50х3у9 ... 7х3у9; в) 79c8d10 = 85c8d10 ... 10c8d10 ... 4c8d10; г) 99pnqnzn = 100pnqnzn ... 10pnqnzn ... 15pnqnzn ... 4pnqnzn.

21.37. Некоторое число уменьшили на 15%, а затем результат увеличили на 10 %. После этого получили число, которое на 13 меньше первоначального. Найдите первоначальное число.

21.38. Задуманное число сначала увеличили на 12%, а затем результат уменьшили на 24 %. Полученное при этом число оказалось на 186 меньше задуманного. Найдите задуманное число.

21.39. В прямоугольном параллелепипеде длина в 3 раза больше ширины и в 2 раза меньше высоты. Найдите измерения прямоугольного параллелепипеда, если площадь его поверхности равна 864 см2.

21.40. В прямоугольном параллелепипеде ширина в 2 раза меньше высоты и составляет его длины. Найдите измерения параллелепипеда, если площадь его поверхности равна 736 м2.

21.41. Измерения прямоугольного параллелепипеда относятся как 2 : 3 : 5, а площадь его поверхности равна 62 дм2. Найдите измерения прямоугольного параллелепипеда.

<<< К началу      Решенния >>>

 

 

???????@Mail.ru