Главная >> Домашние работы к учебнику Мордкович. Алгебра 7 класс

Глава 5. Одночлены. Арифметические операции над одночленами

Сложение и вычитание одночленов

21.1. а) да; б) да; в) да; г) да.

21.2. а) да; б) да; в) да; г) да.

21.3. а) нет; б) нет; в) нет; г) нет.

21.4. а) 5,1х2у6; б) 10,8a2b2c9; в) 3c3d12z5; г) m2n8p14.

21.7. а) 8х; б) 9р; в) 13у; г) 20q.

21.8. а) 2,4с; б) 0,75m; в) 11,9d; г) 0,5n.

21.13. а) * = 13a2b3 - 5а2b3 = -8а2b3; б) * = 24х3 - 12х3 = 12х3; в) * = 7,4pq - 4pq = 3,4pq; г) * = 1,7m2n - 0,5m2n = 1,2m2n.

21.14. а) * = -18а5b7; б) * = -1,2st4 - бst4 = -7,2st4; в) * = -2,4x3yz; г) * = 13xyz - 18,3xyz = -5,3xyz.

21.15. a) 6cd2 = cd2 + bcd2 = 3cd2 + 3cd2; б) 49x3y2 = 40x3y2 + 9x3y2 = x3y2 + 48x3y2.

21.16. a) 10xy + 18xy + 14xy = 42xy; 6) 3y2x + 36y2x + 2y2x = 41y2x; в) -11ab + 8ab + 5ab = 2ab; г) ab2 + 9ab2 + 3ab2 + ab2 = 14ab2.

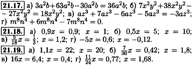
21.17. a) 3а2b + 63а2b - 30a2b = 36a2b; 6) 7x2y2 + 38x2y2 - 27x2y2 = 18x2y2; в) az3 + 7az3 - 6az3 - baz3 = -3az3; г) m8n4 + 6m8n4 - 7m8n4 = 0.

21.20. a) 5x3 = 40; x3 = 8; x = 2; 6) 3x2 = 192; x2 = 64; x = ±8; в) 2x3 = -54; x3 = -27; x = -3; r) 8x8 = -8; x8 = -1; нет.

21.24. x — деньги.
1,1x - 600 = 0,5x; 0,6x = 600; x = 1000; 0,5 • 1000 • 1,1 = 550.
Ответ: 550.

<<< К началу   Решенния (окончание) >>>

 

 

???????@Mail.ru